【药物名称】Eptapirone, L-0068, F-11440
化学结构式(Chemical Structure):
参考文献No.480703
标题:S.A.R. of a novel series of high efficacy 5HT1A ag
作者:Colpaert, F.C.; Koek, W.; Kleven, M.; Assie, M.B.; Dupont-Passelaigue, E.; Rouais, C.; Blettery, J.L.; Cosi, C.; Patoiseau, J.E.
来源:15th European Federation for Medicinal Chemistry International Symposium on Medicinal Chemistry (Sept 6 1998, Edinburgh) 1998,Abst P.296
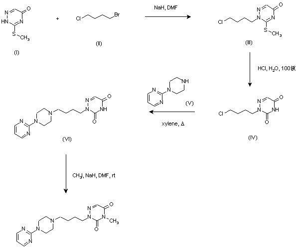
合成路线图解说明:

Triazinone (I) was alkylated with 1-bromo-4-chlorobutane (II) in the presence of NaH to give the (chlorobutyl)triazinone (III). Subsequent hydrolysis of (III) with boiling 2 N HCl provided triazinedione (IV). Finally, condensation of (IV) with 1-(2-pyrimidinyl)piperazine (V) yielded the title compound.

Drug Information Express,Drug R&D,Chemical Database,Patent Search.
Copyright © 2006-2026 Drug Future. All rights reserved.Contact Us