【药物名称】SB-258741
化学结构式(Chemical Structure):
参考文献No.37966
标题:Sulphonamide derivs. and their use in the treatment of CNS disorders
作者:King, F.D.; Forbes, I.T.; Rahman, S.K. (SmithKline Beecham plc)
来源:WO 9748681
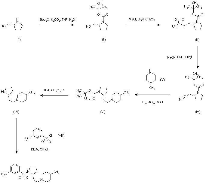
合成路线图解说明:

Treatment of (R)-2-pyrrolidine methanol (I) with di-tert-butyl dicarbonate and K2CO3 gave carbamate (II), which was converted to mesylate (III) using methanesulfonyl chloride and Et3N. Subsequent reaction of (III) with NaCN in DMF provided nitrile (IV). The catalytic hydrogenation of this nitrile in the presence of 4-methylpiperidine (V) furnished the (piperidinylethyl)pyrrolidine (VI). After Boc deprotection of (VI) with trifluoroacetic acid in refluxing CH2Cl2, the resulting pyrrolidine (VII) was finally condensed with m-toluenesulfonyl chloride (VIII) to give the target sulfonamide.

Drug Information Express,Drug R&D,Chemical Database,Patent Search.
Copyright © 2006-2026 Drug Future. All rights reserved.Contact Us