【药物名称】842470, GW-842470, AWD-12-281
化学结构式(Chemical Structure):
参考文献No.41046
标题:New hydroxyindoles, their use as phosphodiesterase 4 inhibitors and method for producing same
作者:H鰂gen, N.; Kronbach, T.; Plymeropoulos, E.; Marx, D.; Heer, S.; Szelenyi, S.; Egerland, U.; Poppe, H. (Arzneimittelwerk Dresden GmbH)
来源:CA 2270301; DE 19818964; WO 9955696
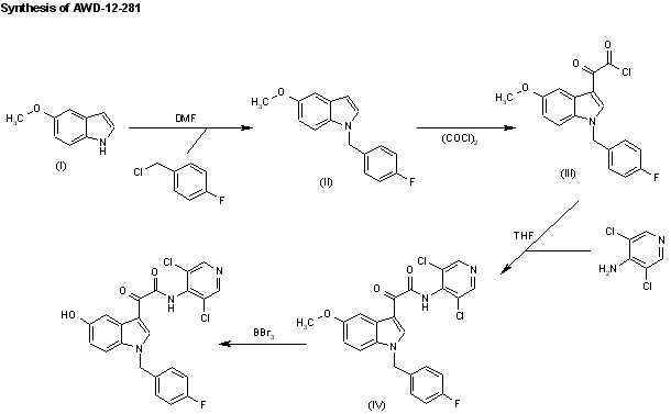
合成路线图解说明:

The reaction of 5-methoxyindol (I) with 4-fluorobenzyl chloride in DMF gives 5-methoxy-1-(4-fluorobenzyl)indol (II). This compound is acylated with oxalyl chloride, yielding 5-methoxy-[1-(4-fluorobenzyl)indol-3-yl]glyoxylic acid chloride (III), which is transformed with 4-amino-3,5-dichloropyridine into the corresponding amide (IV). The reaction of (IV) with borontribromide in toluene cleaves the methoxy group, yielding AWD 12-281.

参考文献No.651710
标题:AWD 12-281
作者:H鰂gen, N.; Schupke, H.; Marx, D.; Gasparic, A.; Kronbach, T.; Hartenhauer, H.; Szelenyi, I.; Krone, D.; Hempel, R.; Kiss, H.; Berthold, K.; Egerland, U.; Olbrich, M.; Heer, S.; Rundfelt, C.
来源:Drugs Fut 2002,27(2),111
合成路线图解说明:

The reaction of 5-methoxyindol (I) with 4-fluorobenzyl chloride in DMF gives 5-methoxy-1-(4-fluorobenzyl)indol (II). This compound is acylated with oxalyl chloride, yielding 5-methoxy-[1-(4-fluorobenzyl)indol-3-yl]glyoxylic acid chloride (III), which is transformed with 4-amino-3,5-dichloropyridine into the corresponding amide (IV). The reaction of (IV) with borontribromide in toluene cleaves the methoxy group, yielding AWD 12-281.

Drug Information Express,Drug R&D,Chemical Database,Patent Search.
Copyright © 2006-2026 Drug Future. All rights reserved.Contact Us