【药物名称】VUF-K-8707
化学结构式(Chemical Structure):
参考文献No.34469
标题:Heteroaryl substd. phenylene derivs., their preparation and their use a leukotriene receptor antagonists
作者:Timmerman, H.; Zhang, M.; Onogi, K.; Tamura, M.; Toma, T.; Wada, Y. (Kowa Co., Ltd.)
来源:EP 0799826; JP 1997323975; US 5756518; US 5885987; US 6011033
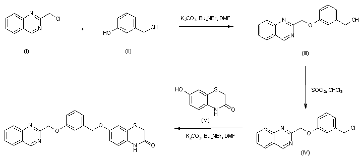
合成路线图解说明:

Alkylation of 3-hydroxybenzyl alcohol (II) with 2-chloromethylquinazoline (I) in the presence of K2CO3 and tetrabutylammonium bromide provided ether (III). The hydroxyl group of (III) was converted to chloride (IV) by treatment with thionyl chloride. Finally, alkylation of hydroxybenzothiazinone (V) with chloride (IV) yielded the title compound.

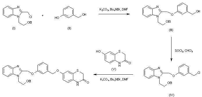
合成路线图解说明:

Alkylation of 3-hydroxybenzyl alcohol (II) with benzimidazolylmethyl chloride (I) in the presence of K2CO3 and tetrabutylammonium bromide provided ether (III). The hydroxyl group of (III) was converted to chloride (IV) by treatment with thionyl chloride. Finally, alkylation of hydroxybenzothiazinone (V) with chloride (IV) yielded the title compound.

参考文献No.482116
标题:VUF-K-8707 and analogs, non-acidic leukotriene D4 receptor antagonists
作者:Tamura, M.; Tohma, T.; Onogi, K.; et al.
来源:15th European Federation for Medicinal Chemistry International Symposium on Medicinal Chemistry (Sept 6 1998, Edinburgh) 1998,Abst P.226
合成路线图解说明:

Alkylation of 3-hydroxybenzyl alcohol (II) with 2-chloromethylquinazoline (I) in the presence of K2CO3 and tetrabutylammonium bromide provided ether (III). The hydroxyl group of (III) was converted to chloride (IV) by treatment with thionyl chloride. Finally, alkylation of hydroxybenzothiazinone (V) with chloride (IV) yielded the title compound.

合成路线图解说明:

Alkylation of 3-hydroxybenzyl alcohol (II) with benzimidazolylmethyl chloride (I) in the presence of K2CO3 and tetrabutylammonium bromide provided ether (III). The hydroxyl group of (III) was converted to chloride (IV) by treatment with thionyl chloride. Finally, alkylation of hydroxybenzothiazinone (V) with chloride (IV) yielded the title compound.

Drug Information Express,Drug R&D,Chemical Database,Patent Search.
Copyright © 2006-2026 Drug Future. All rights reserved.Contact Us