【药物名称】EF-7412
化学结构式(Chemical Structure):
参考文献No.29612
标题:New arylpiperazine derivs.
作者:Lopez Rodriguez, M.L.; Rosado Samitier, M.L.; Benahmu Salama, B.; Fernandez Velando, E.; Morcillo Ortega, M.J. (Universidad Complutense de Madrid)
来源:ES 2095811; WO 9606846
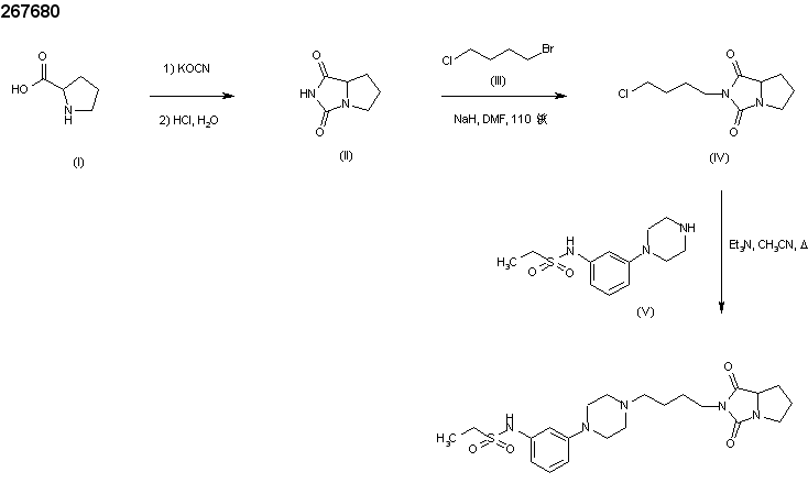
合成路线图解说明:

Perhydropyrrolo[1,2-c]imidazole-1,3-dione (II) was prepared by Urech synthesis upon condensation of proline (I) with potassium cyanate, followed by acid cyclization. Subsequent alkylation of (II) with 1-bromo-4-chlorobutane (III) in the presence of NaH in DMF provided the chlorobutyl derivative (IV). This was finally coupled with aryl piperazine (V) to yield the title compound.

参考文献No.541848
标题:Design and synthesis of 2-[4-[4-(m-(ethylsulfonamido)-penhyl)piperazin-1-yl]butyl]-1,3-dioxoperhydropyrrolo[1,2-c]imidazole (EF-7412) using neural networks. A selective derivative with mixed 5-HT1A/D2 antagonist properties
作者:L髉ez-Rodr韌uez, M.L.; Morcillo, M.J..; Fernandez, E.; Rosado, M.L.; Orensanz, L.; Beneytez, M.E.; Manzanares, J.; Fuentes, J.A.; Schaper, K.J.
来源:Bioorg Med Chem Lett 1999,9(12),1679
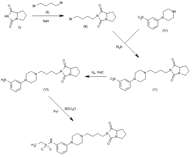
合成路线图解说明:

The condensation of perhydropyrrolo[1,2-c]imidazole-2,7-dione (I) with 1,4-dibromobutane (II) by means of NaH in DMF gives the expected 4-bromobutyl derivative (III), which is condensed with 1-(3-nitrophenyl)piperazine (IV) by means of triethylamine in hot acetonitrile yielding 2-[4-[4-(3-nitrophenyl)piperazin-1-yl]butyl]perhydropyrrolo[1,2-c]imidazole-2,7-dione (V). The reduction of the nitro group of (V) with H2 over Pd/C in methanol affords the corresponding amino derivative (VI), which is finally sulfonated with ethanesulfonyl chloride and pyridine in acetone.

Drug Information Express,Drug R&D,Chemical Database,Patent Search.
Copyright © 2006-2026 Drug Future. All rights reserved.Contact Us