【药物名称】L-776967
化学结构式(Chemical Structure):
参考文献No.37234
标题:2-(3,5-Difluorophenyl)-3-(4-(methyl-sulfonyl)phenyl)-2-cyclopenten-1-one useful as an inhibitor of cyclooxygenase-2
作者:Black, C. (Merck Frosst Canada Inc.)
来源:EP 0863134; JP 1998251220
合成路线图解说明:

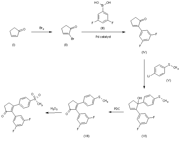
The bromination of 2-cyclopentenone (I) gives 2-bromocyclopentenone (II), which is condensed with 3,5-difluorophenylboronic acid (III) by means of a Pd catalyst yielding 2-(3,5-difluorophenyl)-2-cyclopentenone (IV). The reaction of (IV) with the aryl lithium (V) affords the cyclopentenol derivative (VI), which is submitted to an oxidation with PDC with simultaneous allylic transposition to give 2-(3,5-difluorophenyl)-3-[4-(methylsulfanyl)phenyl]-2-cyclopenten-1-one (VII). Finally, this compound is oxidized with H 2O2 (Na2WO4) to the target sulfone. The preceding synthetic approach can also be performed with 2-iodo-2-cyclopentenone (obtained by iodination of (I) instead of its bromo analogue (II). The synthetic approaches can also be performed with the arylmagnesium analogue of lithium derivative (V).

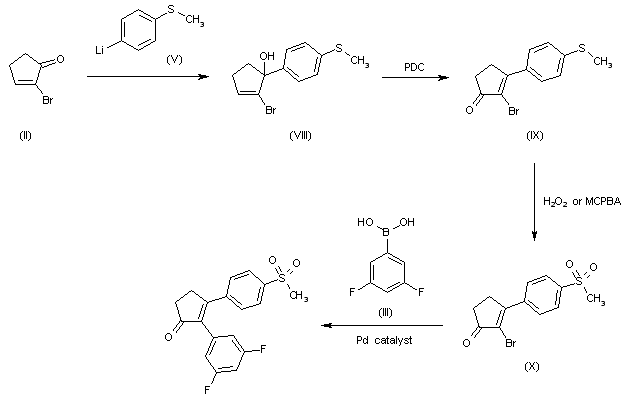
合成路线图解说明:

The condensation of 2-bromo-2-cyclopentenone (II) with the aryl lithium compound (V) gives the tertiary alcohol (VIII), which is submitted to an oxidation with PDC with simultaneous allylic transposition to provide 2-bromo-3-[4-(methylsulfanyl)phenyl]-2-cyclopenten-1-one (IX). The oxidation of (IX) with H2O2 (Na2WO4) or MCPBA yields the corresponding sulfone (X), which is finally condensed with boronic acid (III) by means of a Pd catalyst as before. The synthetic approaches can also be performed with the arylmagnesium analogue of lithium derivative (V).

合成路线图解说明:

The bromination of 3-ethoxy-2-cyclopentenone (XI) gives the 2-bromo derivative (XII), which is condensed with the aryl lithium (V) as before yielding the tertiary alcohol (XIII). Then (XIII) was submitted to an acid rearrangement to provide 2-bromo-3-[4-(sulfanylmethyl)phenyl]-2-cyclopentenone (IX), already obtained in the preceding approaches. The synthetic approaches can also be performed with the arylmagnesium analogue of lithium derivative (V).

参考文献No.536403
标题:Efficient syntheses of 2-(3 ',5 '-difluorophenyl)-3-(4 '-methylsulfonylphenyl)-cyclopent-2-enone, a potent COX-2 inhibitor
作者:Grabowski, E.J.J.; Zhaol, D.L.; Prasit, P.; Xu, F.; Ouimet, N.; Tillyer, R.D.; Black, C.; Chen, C.Y.; Reider, P.J.
来源:Tetrahedron 1999,55(19),6001
合成路线图解说明:

The reaction of 4-(methylsulfanyl)acetophenone (I) with tosylhydrazine by means of PPTS in acetonitrile gives the corresponding hydrazone (II), which by reaction with isopropylmagnesium chloride in THF/toluene yields the vinylmagnesium derivative (III). This compound, without isolation is condensed with 3,5-difluorobenzaldehyde (IV) to afford the allyl alcohol (V), which is condensed with triethyl orthoacetate and saponified providing 5-(3,5-difluorophenyl)-4-[4-(methylsulfanyl)phenyl]-4-pentenoic acid (VI). The cyclization of (VI) with AlCl3 and (COCl)2 in dichloromethane gives the cyclopentenone (VII), which is finally oxidized with potassium peroxymonosulfate (Oxone) in hot acetone/water to afford the target sulfone.

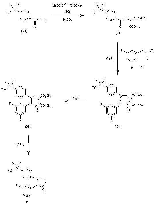
合成路线图解说明:

The alkylation of dimethyl malonate (IX) with 4-(methylsulfonyl)phenacyl bromide (VIII) by means of K2CO3 in hot acetone gives the substituted malonic ester (X), which is condensed with 2-(3,5-difluorophenyl)acetyl chloride (XI) by means of MgBr2 and pyridine in acetonitrile yielding the disubstituted malonic ester (XII). The cyclization of (XII) by means of triethylamine affords the cylopentenone dicarboxylic ester (XIII), which is finally decarboxylated with H2SO4 in hot acetic acid to provide the target compound.

参考文献No.537451
标题:2,3-Diarylcyclopentenones as orally active, highly selective cyclooxygenase-2 inhibitors
作者:Black, W.C.; Brideau, C.; Chan, C.C.; Charleson, S.; Chaure, N.; Claveau, D.; Ethier, D.; Gordon, R.; Greig, G.; Guay, J.; Hughes, G.; Jolicoeur, P.; Leblanc, Y.; Nicoll-Griffith, D.; Ouimet, N.; Riendeau, D.; Visco, D.; Wang, Z.; Xu, L.; Prasit, P.
来源:J Med Chem 1999,42(7),1274
合成路线图解说明:

The bromination of 3-ethoxy-2-cyclopenten-1-one (I) with Br2 and triethylamine in chloroform gives the 2-bromo derivative (II), which is condensed with 4-bromothioanisole (III) by means of BuLi in THF yielding 2-bromo-3-[4-(methylsulfanyl)phenyl]-2-cyclopenten-1-one (IV). The oxidation of (IV) with Na2WO4 and H2O2 affords the corresponding sulfone (V), which is finally condensed with lithium diisopropyl 3-pyridylboronate (VII) or the corresponding dimethyl ester (VIII) by means of tris(dibenzylideneacetone)dipalladium (III) (Pd2(dba)3) and triphenylphosphine in toluene/propanol/water. The lithium boronates (VII) and (VIII) have been obtained by reaction of 3-bromopyridine (VI) with triisopropyl borate or trimethyl borate and BuLi in ethyl ether.

合成路线图解说明:

The bromination of 3-ethoxy-2-cyclopentenone (XI) gives the 2-bromo derivative (XII), which is condensed with the aryl lithium (V) as before yielding the tertiary alcohol (XIII). Then (XIII) was submitted to an acid rearrangement to provide 2-bromo-3-[4-(sulfanylmethyl)phenyl]-2-cyclopentenone (IX), already obtained in the preceding approaches. The synthetic approaches can also be performed with the arylmagnesium analogue of lithium derivative (V).

Drug Information Express,Drug R&D,Chemical Database,Patent Search.
Copyright © 2006-2026 Drug Future. All rights reserved.Contact Us