【药物名称】RWJ-51204
化学结构式(Chemical Structure):
参考文献No.36314
标题:5-Heteroatom-containing alkyl substd.-3-oxo-pyrido(1,2-a)benzimidazole-4-carboxamide derivs. useful in treating central nervous system disorders
作者:Reitz, A.B.; Jordan, A.D.; Sanfilippo, P.J.; Scott, M.K. (Ortho-McNeil Pharmaceutical, Inc.)
来源:EP 0935598; US 5817668; WO 9815553
合成路线图解说明:

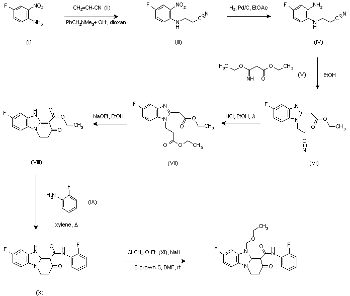
Michael addition of acrylonitrile (II) to 4-fluoro-2-nitroaniline (I) in the presence of Triton B provided nitrile (III). The nitro group of (III) was then reduced to the amine (IV) by hydrogenation over Pd/C. Further cyclization of amine (IV) with ethyl (ethoxycarbonyl)acetimidate (V) furnished the benzimidazole (VI). Diester (VII) (prepared by refluxing the nitrile (VI) with ethanolic HCl), was submitted to Dieckmann cyclization in the presence of NaOEt to produce the pyridobenzimidazole (VIII). Reaction of the ester group of (VIII) with 2-fluoroaniline (IX) in boiling xylene yielded the corresponding anilide (X), which was finally alkylated with ethoxymethyl chloride (XI) in the presence of NaH and crown ether.

参考文献No.563506
标题:Process research for the synthesis of RWJ-51204, a novel anxiolytic agent
作者:Cohen, J.H.; et al.
来源:Org Process Res Dev 1999,3(4),260
合成路线图解说明:

Michael addition of acrylonitrile (II) to 4-fluoro-2-nitroaniline (I) in the presence of Triton B provided nitrile (III). The nitro group of (III) was then reduced to the amine (IV) by hydrogenation over Pd/C. Further cyclization of amine (IV) with ethyl (ethoxycarbonyl)acetimidate (V) furnished the benzimidazole (VI). Diester (VII) (prepared by refluxing the nitrile (VI) with ethanolic HCl), was submitted to Dieckmann cyclization in the presence of NaOEt to produce the pyridobenzimidazole (VIII). Reaction of the ester group of (VIII) with 2-fluoroaniline (IX) in boiling xylene yielded the corresponding anilide (X), which was finally alkylated with ethoxymethyl chloride (XI) in the presence of NaH and crown ether.

参考文献No.709396
标题:Potential anxiolytic agents. Part 4: Novel orally-active N(5)-substituted pyrido[1,2-a]benzimidazoles with high GABA-A receptor affinity
作者:Jordan, A.D.; Vaidya, A.H.; Rosenthal, D.I.; Dubinsky, B.; Kordik, C.P.; Sanfilippo, P.J.; Wu, W.-N.; Reitz, A.B.
来源:Bioorg Med Chem Lett 2002,12(17),2381
合成路线图解说明:

Michael addition of acrylonitrile (II) to 4-fluoro-2-nitroaniline (I) in the presence of Triton B provided nitrile (III). The nitro group of (III) was then reduced to the amine (IV) by hydrogenation over Pd/C. Further cyclization of amine (IV) with ethyl (ethoxycarbonyl)acetimidate (V) furnished the benzimidazole (VI). Diester (VII) (prepared by refluxing the nitrile (VI) with ethanolic HCl), was submitted to Dieckmann cyclization in the presence of NaOEt to produce the pyridobenzimidazole (VIII). Reaction of the ester group of (VIII) with 2-fluoroaniline (IX) in boiling xylene yielded the corresponding anilide (X), which was finally alkylated with ethoxymethyl chloride (XI) in the presence of NaH and crown ether.

Drug Information Express,Drug R&D,Chemical Database,Patent Search.
Copyright © 2006-2026 Drug Future. All rights reserved.Contact Us