【药物名称】Aliskiren fumarate, CGP-60536(free base), SPP-100B, SPP-100(free base), CGP-60536B
化学结构式(Chemical Structure):
参考文献No.28958
标题:Delta-amino-gamma-hydroxy-omega-aryl alkanoic acid amides with enzyme especially renin inhibiting activities
作者:G鰏chke, R.; Maibaum, J.K.; Schilling, W.; Stutz, S.; Rigollier, P.; Yamaguchi, Y.; Cohen, N.C.; Herold, P. (Novartis AG)
来源:EP 0678500; EP 0678503; JP 1996053434; JP 1996081430; US 5559111; US 5627182; US 5646143
合成路线图解说明:

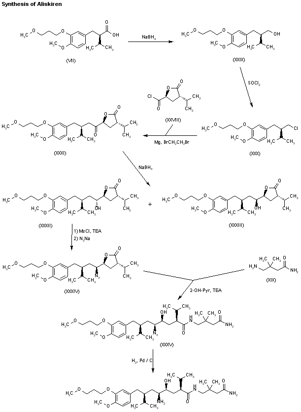
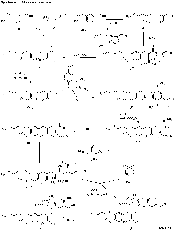
Alkylation of 3-hydroxy-4-methoxybenzyl alcohol (I) with 1-bromo-3-methoxypropane (II) gives ether (III). Subsequent conversion of benzyl alcohol (III) into bromide (IV) is carried out using bromotrimetylsilane. The chiral isovaleryloxazolidinone (V) is alkylated with bromide (IV) by means of LiHMDS to afford (VI), which is hydrolyzed to the (S)-2-aryl-2-isopropylpropionic acid (VII) by means of lithium peroxide. The reduction of acid (VII) to the corresponding alcohol with NaBH4/I2 reagent, followed by treatment with PPh3 and NBS, provides bromide (VIII). Alkylation of the chiral dimethoxydihydropyrazin (IX) with bromide (VIII) produces (X). Further hydrolysis of the pyrazine ring of (X) with HCl, followed by Boc protection of the resulting (S,S)-amino ester, yields compound (XI). Reduction of the ester group of (XI) with DIBAL gives aldehyde (XII). This compound is condensed with the Grignard reagent (XIII) to afford the diastereomeric mixture of amino alcohols (XIV). Treatment of mixture (XIV) with 2,2-dimethoxypropane (XV) and TsOH produces a mixture of oxazolidines, from which the required (S,S,S)-isomer (XVI) is isolated by flash chromatography. Hydrogenolitic deprotection of the benzyl ether of (XVI) gives alcohol (XVII).

合成路线图解说明:

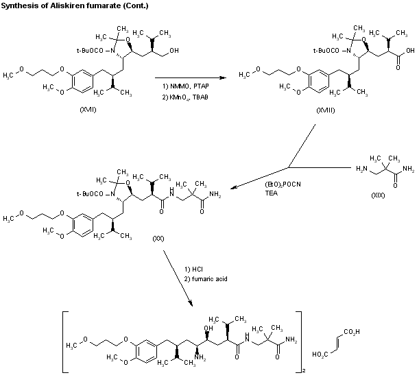
This alcohol is oxidized to aldehyde with NMMO and tetrapropylammonium perruthenate (TPAP), and further oxidized to carboxylic acid (XVIII) with KMnO4 and tetrabutylammonium bromide (TBAB). Coupling of (XVIII) with aminoamide (XIX) by means of diethyl cyanophosphonate and TEA gives (XX). Finally, acid hydrolysis of the oxazolidine ring and Boc protecting groups of (XX) furnishes the corresponding amino alcohol, which is finally converted to the hemifumarate salt.

参考文献No.47606
标题:2-Alkyl-5-halogen-pent-4-ene carboxylic acids and their production
作者:Stutz, S.; Herold, P. (Speedel Pharma Inc.)
来源:WO 0109079; WO 0109083
合成路线图解说明:

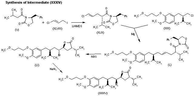
Alternatively, the chiral azido intermediate (XXXIV) can also be synthesized as follows: Alkylation of oxazolidinone (V) with 1-chloro-3-iodopropene (XLVIII) by means of LiHMDS in THF gives compound (XLIX), which is condensed with the magnesium derivative of the phenylpropyl chloride (XXX) to yield, after working up, amide (L). Bromination of (L) with NBS and phosphoric acid affords the bromolactone (LI), which by treatment with NaN3 in tripropylene glycol/water provides the azido derivative (XXXIV).

参考文献No.58878
标题:Preparation of (R)-2-alkyl-3-phenylpropionic acids
作者:Herold, P.; Stutz, S. (Speedel Pharma Inc.)
来源:WO 0202500
合成路线图解说明:

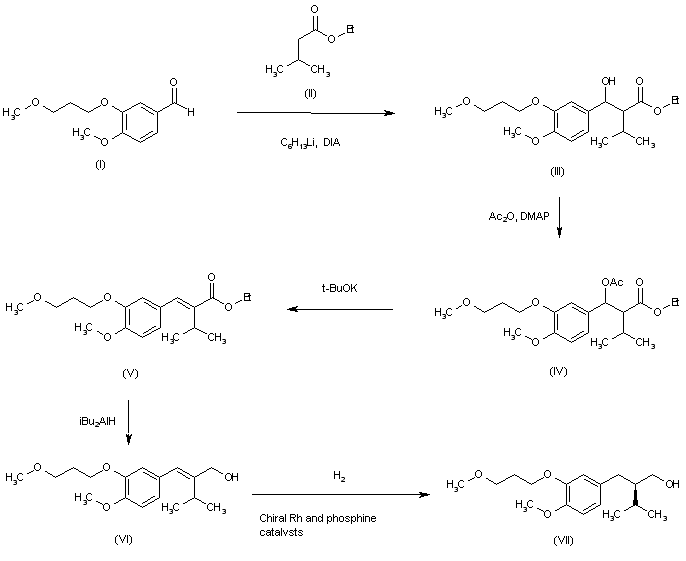
The condensation of benzaldehyde (I) with ethyl isovalerate (II) by means of hexyl lithium and DIA in THF gives the hydroxyester (III), which is acylated with Ac2O and DMAP in THF to yield the acetoxy derivate (IV). The elimination reaction in (IV) by means of t-BuOK in THF affords the unsaturated ester (V), which is hydrolyzed with KOH in ethanol to provide the unsaturated free acid (VI). Finally, this compound is enantioselectively reduced with H2 over several chiral Rh catalysts {[Rh(NBD)2BF4, [Rh(NBD)(OCOCF3)2], [Rh(NBD)Cl2], etc} to give the target intermediate 2(R)-isopropyl-3-[4-methoxy-3-(3-methoxypropoxy)phenyl]propionic acid (VII). (see scheme 26758001a, intermediate (VII)).

参考文献No.58879
标题:Process for the preparation of (R)-2-alkyl-3-phenyl-1-propanols
作者:Herold, P.; Stutz, S.; Spindler, F. (Speedel Pharma Inc.)
来源:WO 0202487
合成路线图解说明:

The condensation of benzaldehyde (I) with ethyl isovalerate (II) by means of hexyl lithium and DIA in THF gives the hydroxyester (III), which is acylated with Ac2O and DMAP in THF to yield the acetoxy derivative (IV). The elimination reaction in (IV) by means of t-BuOK in THF affords the unsaturated ester (V), which is reduced with diisobutylaluminum hydride in toluene to provide the unsaturated alcohol (VI). Finally, this compound is enantioselectively reduced with H2 over a chiral biphenylyl diphenylphosphine catalyst and a [Rh(norbornadiene)Cl]2 catalyst in toluene to give the target intermediate 2(R)-isopropyl-3-[4-methoxy-3-(3-methoxypropoxy)phenyl]-1-propanol (VII). (see scheme 26758001d, intermediate (XXIX)).

参考文献No.58880
标题:Process for the preparation of substd. octanoyl amides
作者:Herold, P.; Stutz, S. (Speedel Pharma Inc.)
来源:WO 0208172
合成路线图解说明:

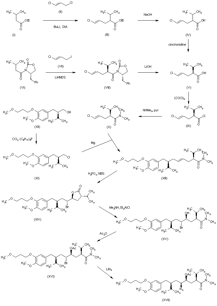
The condensation of ethyl isovalerate (I) with 1,3-dichloropropene (II) by means of BuLi and DIA in THF gives 5-chloro-2-isopropyl-4-pentenoic acid ethyl ester (III), which is hydrolyzed with NaOH in ethanol to yield the corresponding racemic acid (IV). The optical resolution of (IV) is carried out by means of cinchonidine and TEA in THF to afford 5-chloro-2(S)-isopropyl-4-pentenoic acid (V), which can also be obtained by asymmetric synthesis as follows: Condensation of 4(S)-benzyl-3-(3-methylbutyryl)oxazolidin-2-one (VI) with 3-iodo-1-propenyl chloride (VII) by means of LiHMDS in THF gives 4(S)-benzyl-3-(2(S)-isopropyl-3-methylbutyryl)oxazolidin-2-one (VIII), which is hydrolyzed with LiOH in THF/water to afford the chiral pentanoic acid (V). The reaction of (V) with oxalyl chloride in toluene gives the corresponding acyl chloride (IX), which is treated with dimethylamine and pyridine in dichloromethane to yield the dimethylamide (X). The condensation of (X) with the chiral chloro derivative (XI) (obtained by reaction of the corresponding alcohol (XII) with CCl4 and trioctylphosphine) by means of Mg and 1,2-dibromoethane in THF affords the octenamide (XIII). The cyclization of (XIII) by means of phosphoric acid and simultaneous bromination with NBS in THF provides the chiral bromolactone (XIV), which is opened by means of dimethylamine and Et2AlCl in dichloromethane to give the chiral 5-bromo-4-hydroxy-2,7-diisopropyloctanamide (XV). The reaction of (XV) with acetic anhydride and pyridine in dichloromethane yields the acetoxy derivative (XVI), which is treated with LiN3 to afford the 5(S)-azido derivative (XVII).

合成路线图解说明:

The cyclization of (XVII) by means of TsOH in refluxing methanol gives the chiral lactone (XVIII), which is condensed with 3-amino-2,2-dimethylpropionamide (XIX) by means of TEA and 2-hydroxypyridine at 90 C to yield the corresponding amide (XX). Finally, the azido group of (XX) is reduced with H2 over Pd/C in tert-butyl methyl ether to afford the target Aliskiren.

参考文献No.58881
标题:Process for the preparation of substd. octanoyl amides
作者:Herold, P.; Stutz, S.; Spindler, F. (Speedel Pharma Inc.)
来源:WO 0202508
合成路线图解说明:

The condensation of the chiral chloro derivative (I) with 5-chloro-[2(S)-isopropyl]-4-pentanoic acid methyl ester (II) by means of Mg and dibromoethane in THF gives the chiral octenoic ester (III) which is converted to the corresponding acid (IV) by means of LiOH in THF/methanol/water. The reaction of (IV) with NBS in dichloromethane yields the bromolactone (V), which is treated with LiOH in isopropanol to yield the epoxide (VI). This compound, without isolation, is treated with HCl in the same solvent to afford the chiral hydroxylactone (VII). The reaction of the OH group of (VII) with MsCl and pyridine in toluene provides the mesylate (VIII), which is treated with NaN3 in hot 1,3-dimethylperhydropyrimidin-2-one to give the azido derivative (IX). The condensation of (IX) with 3-amino-2,2-dimethylpropionamide (X) by means of 2-hydroxypyridine in hot TEA yields the carboxamide (XI). Finally, the azido group of (XI) is reduced with H2 over Pd/C in tert-butyl methyl ether to provide the target Aliskiren.

参考文献No.479502
标题:Structural modification of the P2' position of 2,7-dialkyl substituted 5(S)-amino-4(S)-hydroxy-8-phenyl-octane-carboxamides: Discovery of a potent non-peptide renin inhibitor active after once daily dosing in marmosets
作者:Rigollier, P.; Stutz, S.; Goeschke, R.; Yamaguchi, Y.; Maibaum, J.; Wood, J.
来源:15th European Federation for Medicinal Chemistry International Symposium on Medicinal Chemistry (Sept 6 1998, Edinburgh) 1998,Abst P.230
合成路线图解说明:

Alkylation of 3-hydroxy-4-methoxybenzyl alcohol (I) with 1-bromo-3-methoxypropane (II) gives ether (III). Subsequent conversion of benzyl alcohol (III) into bromide (IV) is carried out using bromotrimetylsilane. The chiral isovaleryloxazolidinone (V) is alkylated with bromide (IV) by means of LiHMDS to afford (VI), which is hydrolyzed to the (S)-2-aryl-2-isopropylpropionic acid (VII) by means of lithium peroxide. The reduction of acid (VII) to the corresponding alcohol with NaBH4/I2 reagent, followed by treatment with PPh3 and NBS, provides bromide (VIII). Alkylation of the chiral dimethoxydihydropyrazin (IX) with bromide (VIII) produces (X). Further hydrolysis of the pyrazine ring of (X) with HCl, followed by Boc protection of the resulting (S,S)-amino ester, yields compound (XI). Reduction of the ester group of (XI) with DIBAL gives aldehyde (XII). This compound is condensed with the Grignard reagent (XIII) to afford the diastereomeric mixture of amino alcohols (XIV). Treatment of mixture (XIV) with 2,2-dimethoxypropane (XV) and TsOH produces a mixture of oxazolidines, from which the required (S,S,S)-isomer (XVI) is isolated by flash chromatography. Hydrogenolitic deprotection of the benzyl ether of (XVI) gives alcohol (XVII).

合成路线图解说明:

This alcohol is oxidized to aldehyde with NMMO and tetrapropylammonium perruthenate (TPAP), and further oxidized to carboxylic acid (XVIII) with KMnO4 and tetrabutylammonium bromide (TBAB). Coupling of (XVIII) with aminoamide (XIX) by means of diethyl cyanophosphonate and TEA gives (XX). Finally, acid hydrolysis of the oxazolidine ring and Boc protecting groups of (XX) furnishes the corresponding amino alcohol, which is finally converted to the hemifumarate salt.

参考文献No.604442
标题:A convergent synthesis approach towards CGP60536B, a non-peptide orally potent renin inhibitor, via an enantiomerically pure ketolactone intermediate
作者:R黣ger, H.; Maibaum, J.; Stutz, S.; Spindler, F.; G鰏chke, R.
来源:Tetrahedron Lett 2000,41(51),10085
合成路线图解说明:

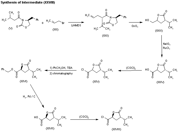
The intermediate gamma-butyrolactone (XXVIII) has been obtained as follows: Allylation of the imidazolidinone intermediate (V) with allyl bromide (XXI) and LiHMDS in THF gives the chiral intermediate (XXII), which by dihydroxylation and cleavage of the chiral auxiliary with OsO4 and NMMO in tert-butanol/acetone/water yields the lactone alcohol (XXIII). Oxidation of (XXIII) with NaIO4 and RuCl3 in CCl4/acetonitrile/water affords the carboxylic acid (XXIV), which by treatment with (COCl)2 in toluene provides the acyl chloride (XXV). Esterification of (XXV) with benzyl alcohol gives the corresponding benzyl ester as a diastereomeric mixture, from which the desired isomer (XXVI) is separated by flash chromatography. Hydrogenolysis of the benzyl ester (XXVI) with H2 over Pd/C in ethyl acetate yields the carboxylic acid (XXVII), which is treated with oxalyl chloride in toluene to afford the desired gamma-butyrolactone intermediate (XXVIII).

合成路线图解说明:

The reduction of the chiral propionic acid (VII) with NaBH4 in THF gives the primary alcohol (XXIX), which by reaction with SOCl2 and pyridine in CHCl3 yields the chloride (XXX). Condensation of (XXX) with the butyrolactone intermediate (XXVII) by means of Mg and dibromoethane affords the ketonic adduct (XXXI). Reduction of the exocyclic carbonyl group of (XXXI) with NaBH4 in THF/ methanol provides a 3:1 diastereomeric mixture of the desired chiral alcohol (XXXII) and its OH-epimer (XXXIII) that are separated by flash chromatography. Reaction of (XXXII) with MsCl and TEA, followed by treatment with NaN3, affords the azido derivative (XXXIV), which is condensed with 4-amino-3,3-dimethylbutyramide (XIX) by means of 2-hydroxypyridine and TEA to provide the adduct (XXXV). Finally, the azido group of (XXXV) is reduced with H2 over Pd/ in MeOH to yield the target amino alcohol. An extensive study on the stereoselective reduction of the ketonic adduct (XXXI) has been performed. No better diastereoselectivity than 3:1 has been obtained for the synthesis of the chiral alcohol (XXXII). However, excellent diastereoselectivity (97:3) has been obtained for the synthesis of its OH-epimer, alcohol (XXXIII), with K-selectride in THF, which could potentially provide access to the target amino alcohol via a double inversion protocol.

参考文献No.604443
标题:A convergent synthesis of the renin inhibitor CGP60536B
作者:Carey, J.S.; Sandham, D.A.; Taylor, R.J.; F鋝sler, A.
来源:Tetrahedron Lett 2000,41(51),10091
合成路线图解说明:

Alternatively, the chiral phenylpropyl chloride (XXX) can also be prepared as follows: Reduction of the cinnamic acid (XXXVI) with H2 over Pd/C in ethyl acetate gives the phenylpropionic acid (XXXVII), which is treated with oxalyl chloride to yield the acyl chloride (XXXVIII). Condensation of (XXXVIII) with (+)-pseudoephedrine (XXXIX) by means of NaOH in toluene/water affords the chiral amide (XL), which is enantioselectively alkylated with 2-iodopropane (XLI) by means of LDA in THF to provide the adduct (XLII). Reduction of the amide group of (XLII) with BH3/NH3 in THF gives the already reported primary alcohol (XXIX), which is finally treated with POCl3 in hot toluene to afford the phenylpropyl chloride intermediate (XXX).

合成路线图解说明:

The chiral azido intermediate (XXXIV) can also be obtained as follows: Reaction of (+)-pseudoephedrine isovaleramide (XLIII) with allyl bromide (XXI) by means of LDA in THF gives the pentenoyl amide (XLIV), which is treated with NBS in DME/water to yield the spiro compound (XLV). Hydrolysis of the bromomethyl group of (XLV) with tetrabutylammonium acetate and K2CO3 affords the carbinol (XLVI), which is oxidized to aldehyde (XLVII) with SO3/pyridine and TEA in DMSO/dichloromethane. Condensation of (XLVII) with the propyl chloride intermediate (XXX) by means of Mg, dibromoethane and CeCl3 in refluxing THF provides the already reported chiral hydroxylactone (XXXII), which is treated first with 4-bromobenzenesulfonyl chloride and then with NaN3 to give the desired azido derivative (XXXIV).

参考文献No.628468
标题:A convergent synthesis of the renin inhibitor SPP-100 using a nitrone intermediate
作者:De Lathauwer, G.; Perrone, D.; Dondoni, A.
来源:Tetrahedron Lett 2001,42(29),4819
合成路线图解说明:

Alternatively, the spiro aldehyde (XLVII) is treated with N-benzylhydroxylamine in dichloromethane to give nitrone (LII), which is submitted to a Grignard reaction with the magnesium derivative of intermediate (XXX) in THF to afford the adduct (LIII) as a mixture of epimers at the amino group. Simultaneous N-dehydroxylation and cleavage of the spiro function of (LIII) by means of Zn, Cu(OAc)2 in AcOH/water gives lactone (LIV), which is condensed with 3-amino-2,2-dimethylpropionamide (XIX) by means of TEA and 2-hydroxypyridine giving the adduct (LV). Finally, the benzylamino group of (LV) is removed with H2 over Pd/C in methanol to yield a mixture of two epimers at the amino group, from which aliskiren is separated.

参考文献No.648490
标题:Aliskiren Fumarate
作者:Mealy, N.E.; Casta馿r, R.M.; Silvestre, J.S.; Casta馿r, J.
来源:Drugs Fut 2001,26(12),1139
合成路线图解说明:

Alkylation of 3-hydroxy-4-methoxybenzyl alcohol (I) with 1-bromo-3-methoxypropane (II) gives ether (III). Subsequent conversion of benzyl alcohol (III) into bromide (IV) is carried out using bromotrimetylsilane. The chiral isovaleryloxazolidinone (V) is alkylated with bromide (IV) by means of LiHMDS to afford (VI), which is hydrolyzed to the (S)-2-aryl-2-isopropylpropionic acid (VII) by means of lithium peroxide. The reduction of acid (VII) to the corresponding alcohol with NaBH4/I2 reagent, followed by treatment with PPh3 and NBS, provides bromide (VIII). Alkylation of the chiral dimethoxydihydropyrazin (IX) with bromide (VIII) produces (X). Further hydrolysis of the pyrazine ring of (X) with HCl, followed by Boc protection of the resulting (S,S)-amino ester, yields compound (XI). Reduction of the ester group of (XI) with DIBAL gives aldehyde (XII). This compound is condensed with the Grignard reagent (XIII) to afford the diastereomeric mixture of amino alcohols (XIV). Treatment of mixture (XIV) with 2,2-dimethoxypropane (XV) and TsOH produces a mixture of oxazolidines, from which the required (S,S,S)-isomer (XVI) is isolated by flash chromatography. Hydrogenolitic deprotection of the benzyl ether of (XVI) gives alcohol (XVII).

合成路线图解说明:

This alcohol is oxidized to aldehyde with NMMO and tetrapropylammonium perruthenate (TPAP), and further oxidized to carboxylic acid (XVIII) with KMnO4 and tetrabutylammonium bromide (TBAB). Coupling of (XVIII) with aminoamide (XIX) by means of diethyl cyanophosphonate and TEA gives (XX). Finally, acid hydrolysis of the oxazolidine ring and Boc protecting groups of (XX) furnishes the corresponding amino alcohol, which is finally converted to the hemifumarate salt.

合成路线图解说明:

The intermediate gamma-butyrolactone (XXVIII) has been obtained as follows: Allylation of the imidazolidinone intermediate (V) with allyl bromide (XXI) and LiHMDS in THF gives the chiral intermediate (XXII), which by dihydroxylation and cleavage of the chiral auxiliary with OsO4 and NMMO in tert-butanol/acetone/water yields the lactone alcohol (XXIII). Oxidation of (XXIII) with NaIO4 and RuCl3 in CCl4/acetonitrile/water affords the carboxylic acid (XXIV), which by treatment with (COCl)2 in toluene provides the acyl chloride (XXV). Esterification of (XXV) with benzyl alcohol gives the corresponding benzyl ester as a diastereomeric mixture, from which the desired isomer (XXVI) is separated by flash chromatography. Hydrogenolysis of the benzyl ester (XXVI) with H2 over Pd/C in ethyl acetate yields the carboxylic acid (XXVII), which is treated with oxalyl chloride in toluene to afford the desired gamma-butyrolactone intermediate (XXVIII).

合成路线图解说明:

The reduction of the chiral propionic acid (VII) with NaBH4 in THF gives the primary alcohol (XXIX), which by reaction with SOCl2 and pyridine in CHCl3 yields the chloride (XXX). Condensation of (XXX) with the butyrolactone intermediate (XXVII) by means of Mg and dibromoethane affords the ketonic adduct (XXXI). Reduction of the exocyclic carbonyl group of (XXXI) with NaBH4 in THF/ methanol provides a 3:1 diastereomeric mixture of the desired chiral alcohol (XXXII) and its OH-epimer (XXXIII) that are separated by flash chromatography. Reaction of (XXXII) with MsCl and TEA, followed by treatment with NaN3, affords the azido derivative (XXXIV), which is condensed with 4-amino-3,3-dimethylbutyramide (XIX) by means of 2-hydroxypyridine and TEA to provide the adduct (XXXV). Finally, the azido group of (XXXV) is reduced with H2 over Pd/ in MeOH to yield the target amino alcohol. An extensive study on the stereoselective reduction of the ketonic adduct (XXXI) has been performed. No better diastereoselectivity than 3:1 has been obtained for the synthesis of the chiral alcohol (XXXII). However, excellent diastereoselectivity (97:3) has been obtained for the synthesis of its OH-epimer, alcohol (XXXIII), with K-selectride in THF, which could potentially provide access to the target amino alcohol via a double inversion protocol.

合成路线图解说明:

Alternatively, the chiral phenylpropyl chloride (XXX) can also be prepared as follows: Reduction of the cinnamic acid (XXXVI) with H2 over Pd/C in ethyl acetate gives the phenylpropionic acid (XXXVII), which is treated with oxalyl chloride to yield the acyl chloride (XXXVIII). Condensation of (XXXVIII) with (+)-pseudoephedrine (XXXIX) by means of NaOH in toluene/water affords the chiral amide (XL), which is enantioselectively alkylated with 2-iodopropane (XLI) by means of LDA in THF to provide the adduct (XLII). Reduction of the amide group of (XLII) with BH3/NH3 in THF gives the already reported primary alcohol (XXIX), which is finally treated with POCl3 in hot toluene to afford the phenylpropyl chloride intermediate (XXX).

合成路线图解说明:

The chiral azido intermediate (XXXIV) can also be obtained as follows: Reaction of (+)-pseudoephedrine isovaleramide (XLIII) with allyl bromide (XXI) by means of LDA in THF gives the pentenoyl amide (XLIV), which is treated with NBS in DME/water to yield the spiro compound (XLV). Hydrolysis of the bromomethyl group of (XLV) with tetrabutylammonium acetate and K2CO3 affords the carbinol (XLVI), which is oxidized to aldehyde (XLVII) with SO3/pyridine and TEA in DMSO/dichloromethane. Condensation of (XLVII) with the propyl chloride intermediate (XXX) by means of Mg, dibromoethane and CeCl3 in refluxing THF provides the already reported chiral hydroxylactone (XXXII), which is treated first with 4-bromobenzenesulfonyl chloride and then with NaN3 to give the desired azido derivative (XXXIV).

合成路线图解说明:

Alternatively, the chiral azido intermediate (XXXIV) can also be synthesized as follows: Alkylation of oxazolidinone (V) with 1-chloro-3-iodopropene (XLVIII) by means of LiHMDS in THF gives compound (XLIX), which is condensed with the magnesium derivative of the phenylpropyl chloride (XXX) to yield, after working up, amide (L). Bromination of (L) with NBS and phosphoric acid affords the bromolactone (LI), which by treatment with NaN3 in tripropylene glycol/water provides the azido derivative (XXXIV).

合成路线图解说明:

Alternatively, the spiro aldehyde (XLVII) is treated with N-benzylhydroxylamine in dichloromethane to give nitrone (LII), which is submitted to a Grignard reaction with the magnesium derivative of intermediate (XXX) in THF to afford the adduct (LIII) as a mixture of epimers at the amino group. Simultaneous N-dehydroxylation and cleavage of the spiro function of (LIII) by means of Zn, Cu(OAc)2 in AcOH/water gives lactone (LIV), which is condensed with 3-amino-2,2-dimethylpropionamide (XIX) by means of TEA and 2-hydroxypyridine giving the adduct (LV). Finally, the benzylamino group of (LV) is removed with H2 over Pd/C in methanol to yield a mixture of two epimers at the amino group, from which aliskiren is separated.

Drug Information Express,Drug R&D,Chemical Database,Patent Search.
Copyright © 2006-2026 Drug Future. All rights reserved.Contact Us