【药物名称】CGP-62198A
化学结构式(Chemical Structure):
参考文献No.30060
标题:Aromatically substituted omega -amino-alkanoic acid amides and alkanoic acid diamides
作者:Maibaum, J. K.; et al. (Novartis AG)
来源:CA 2164571; EP 0716077
合成路线图解说明:

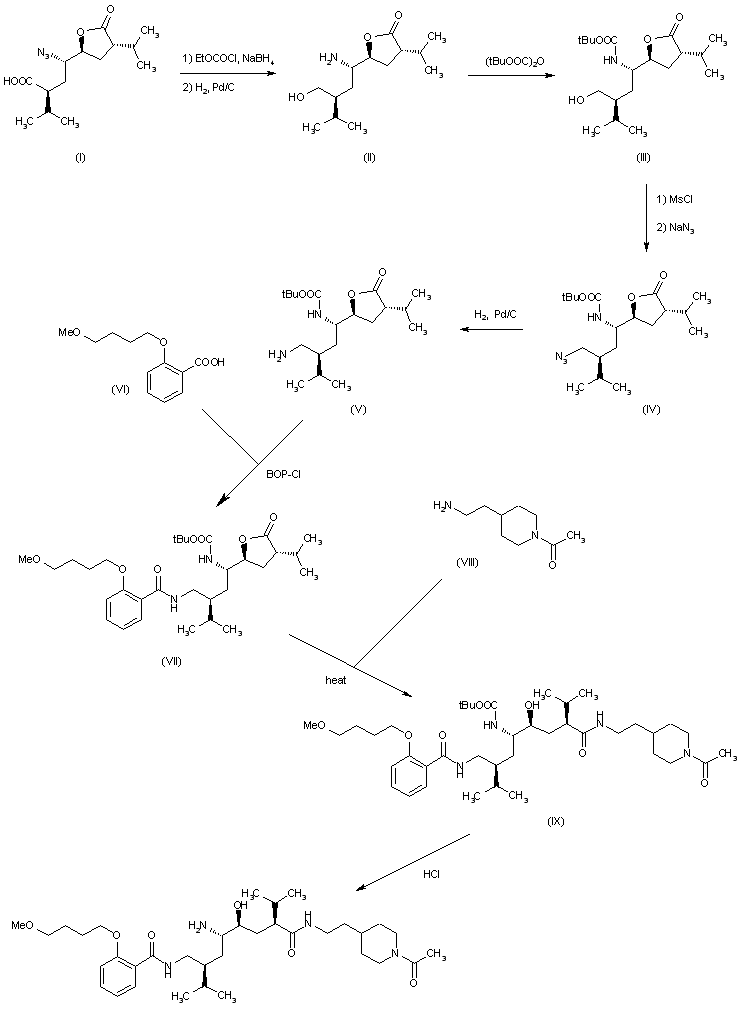
The simultaneous reduction of the carboxylic and azido groups of 3-azidobutyric acid derivative (I) first with ethoxalyl chloride and NaBH4 and then with H2 over Pd/C in gives the 4-aminobutanol derivative (II), which is protected at the amino group with tert-butoxycarbonyl anhydride providing carbamate (III). The reaction of the OH group of (III) first with methanesulfonyl chloride and then with sodium azide affords the primary azide (IV), which is reduced with H2 over Pd/C to the primary amine (V). The acylation of (V) with 2-(4-methoxybutoxy)benzoic acid (VI) by means of BOP-Cl gives the benzamide (VII), which is condensed at the lactone group with 2-(1-acetylpiperidin-4-yl)ethylamine (VIII) by heating at 80 C to afford intermediate (IX) with a new amide group. Finally, the carbamate protecting group of (IX) is hydrolyzed with HCl in dioxane.

参考文献No.479504
标题:Design and synthesis of novel, fully non-peptide transition state mimetic renin inhibitors bearing an O-alkyl substituted salicylamide (P3SP-P3)-moiety with high oral in vivo potency
作者:Maibaum, J.; et al.
来源:15th EFMC Int Symp Med Chem (Sept 6 1998, Edinburgh) 1998,Abst P.231
合成路线图解说明:

The simultaneous reduction of the carboxylic and azido groups of 3-azidobutyric acid derivative (I) first with ethoxalyl chloride and NaBH4 and then with H2 over Pd/C in gives the 4-aminobutanol derivative (II), which is protected at the amino group with tert-butoxycarbonyl anhydride providing carbamate (III). The reaction of the OH group of (III) first with methanesulfonyl chloride and then with sodium azide affords the primary azide (IV), which is reduced with H2 over Pd/C to the primary amine (V). The acylation of (V) with 2-(4-methoxybutoxy)benzoic acid (VI) by means of BOP-Cl gives the benzamide (VII), which is condensed at the lactone group with 2-(1-acetylpiperidin-4-yl)ethylamine (VIII) by heating at 80 C to afford intermediate (IX) with a new amide group. Finally, the carbamate protecting group of (IX) is hydrolyzed with HCl in dioxane.

Drug Information Express,Drug R&D,Chemical Database,Patent Search.
Copyright © 2006-2026 Drug Future. All rights reserved.Contact Us