【药物名称】CT-5269(diHCl), CT-5269
化学结构式(Chemical Structure):
参考文献No.37036
标题:Fused polycyclic 2-aminopyrimidine derivs., their
作者:Moffat, D.F.C.; Davis, J.M.; Batchelor, M.J.; Davis, P.D. (Celltech Chiroscience plc)
来源:EP 0946523; US 6057329; WO 9828281
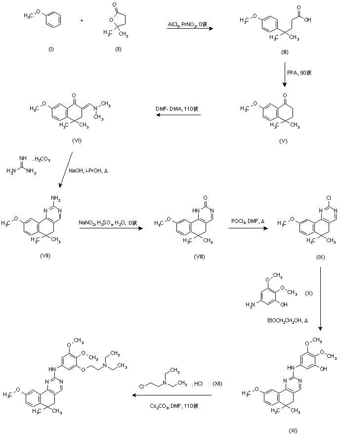
合成路线图解说明:

Condensation of anisole (I) with gamma,gamma-dimethylbutyrolactone (II) in the presence of AlCl3 in 1-nitropropane gave 4-(4-methoxyphenyl)-4-methylpentanoic acid (III), which was cyclized to the tetralone (V) using polyphosphoric acid. Subsequent treatment of (V) with refluxing N,N-dimethylformamide dimethyl acetal provided the dimethylamino-methylene compound (VI). This was cyclized with guanidinium carbonate in boiling isopropanol to furnish the benzoquinazoline (VII). Then, diazotization of (VII) in aqueous sulfuric acid generated the quinazolinone (VIII), which was subsequently converted to chloroquinazoline (IX) with phosphoryl chloride in the presence of DMF. Condensation of (IX) with aniline (X) in refluxing ethoxyethanol gave (XI). Finally, the hydroxyl group of (XI) was alkylated with (diethylamino)ethyl chloride (XII) in the presence of Cs2CO3 in DMF at 110 C to yield the title compound.

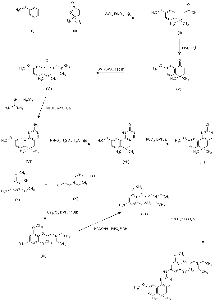
合成路线图解说明:

Condensation of anisole (I) with gamma,gamma-dimethylbutyrolactone (II) in the presence of AlCl3 in 1-nitropropane gave 4-(4-methoxyphenyl)-4-methylpentanoic acid (III), which was cyclized to the tetralone (V) using polyphosphoric acid. Subsequent treatment of (V) with refluxing N,N-dimethylformamide dimethyl acetal provided the dimethylamino-methylene compound (VI). This was cyclized with guanidinium carbonate in boiling isopropanol to furnish the benzoquinazoline (VII). Then, diazotization of (VII) in aqueous sulfuric acid generated the quinazolinone (VIII), which was subsequently converted to the chloroquinazoline (IX) using phosphoryl chloride and DMF. Aniline (XIII) was obtained by alkylation of 2,6-dimethoxy-4-nitrophenol (X) with (diethylamino)ethyl chloride (XI) in the presence of Cs2CO3 to give (XII), followed by catalytic transfer hydrogenation of the nitro group of (XII) with ammonium formate and Pd/C. Finally, condensation of chloroquinazoline (IX) with aniline (XIII) in refluxing ethoxyethanol yielded the title compound.

参考文献No.479527
标题:Benzo[h]-5,6-dihydroquinazoline-2-amines as potent
作者:Davis, J.M.; Hutchings, M.C.; Moffat, D.; Batchelor, M.; Parry, D.M.; Johnson, J.; Berg, D.A.; Davis, P.D.
来源:15th European Federation for Medicinal Chemistry International Symposium on Medicinal Chemistry (Sept 6 1998, Edinburgh) 1998,Abst P.234
合成路线图解说明:

Condensation of anisole (I) with gamma,gamma-dimethylbutyrolactone (II) in the presence of AlCl3 in 1-nitropropane gave 4-(4-methoxyphenyl)-4-methylpentanoic acid (III), which was cyclized to the tetralone (V) using polyphosphoric acid. Subsequent treatment of (V) with refluxing N,N-dimethylformamide dimethyl acetal provided the dimethylamino-methylene compound (VI). This was cyclized with guanidinium carbonate in boiling isopropanol to furnish the benzoquinazoline (VII). Then, diazotization of (VII) in aqueous sulfuric acid generated the quinazolinone (VIII), which was subsequently converted to chloroquinazoline (IX) with phosphoryl chloride in the presence of DMF. Condensation of (IX) with aniline (X) in refluxing ethoxyethanol gave (XI). Finally, the hydroxyl group of (XI) was alkylated with (diethylamino)ethyl chloride (XII) in the presence of Cs2CO3 in DMF at 110 C to yield the title compound.

合成路线图解说明:

Condensation of anisole (I) with gamma,gamma-dimethylbutyrolactone (II) in the presence of AlCl3 in 1-nitropropane gave 4-(4-methoxyphenyl)-4-methylpentanoic acid (III), which was cyclized to the tetralone (V) using polyphosphoric acid. Subsequent treatment of (V) with refluxing N,N-dimethylformamide dimethyl acetal provided the dimethylamino-methylene compound (VI). This was cyclized with guanidinium carbonate in boiling isopropanol to furnish the benzoquinazoline (VII). Then, diazotization of (VII) in aqueous sulfuric acid generated the quinazolinone (VIII), which was subsequently converted to the chloroquinazoline (IX) using phosphoryl chloride and DMF. Aniline (XIII) was obtained by alkylation of 2,6-dimethoxy-4-nitrophenol (X) with (diethylamino)ethyl chloride (XI) in the presence of Cs2CO3 to give (XII), followed by catalytic transfer hydrogenation of the nitro group of (XII) with ammonium formate and Pd/C. Finally, condensation of chloroquinazoline (IX) with aniline (XIII) in refluxing ethoxyethanol yielded the title compound.

Drug Information Express,Drug R&D,Chemical Database,Patent Search.
Copyright © 2006-2026 Drug Future. All rights reserved.Contact Us