【药物名称】CGP-71683A
化学结构式(Chemical Structure):
参考文献No.479789
标题:Synthesis and SAR of CGP 71683A, a potent and sele
作者:Rigollier, P.; Whitebread, S.; Yamaguchi, Y.; R黣ger, H.; Chiesi, M.; Schilling, W.; Criscione, L.
来源:15th European Federation for Medicinal Chemistry International Symposium on Medicinal Chemistry (Sept 6 1998, Edinburgh) 1998,Abst P.239
合成路线图解说明:

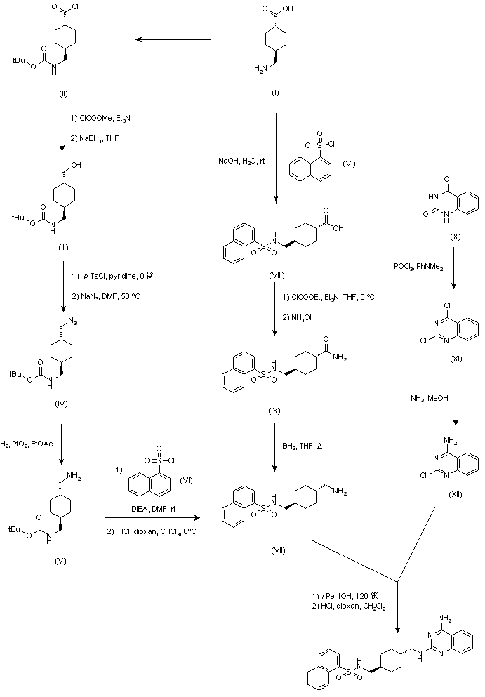
The intermediate sulfonamide (VII) was prepared by two synthetic routes starting from trans 4-(aminomethyl)cyclohexanecarboxylic acid (I). 1.- The N-Boc derivative (II) was converted to the mixed anhydride with ClCOOMe and then reduced to alcohol (III) using NaBH4. Subsequent conversion of (III) to tosylate, followed by reaction with NaN3, provided azide (IV), which was reduced to amine (V) by hydrogenation over PtO2 (1). Coupling of (V) with 1-naphthalenesulfonyl chloride (VI) produced the corresponding sulfonamide, which by further acid deprotection of the Boc group gave (VII). 2.- In a related procedure, amino acid (I) was coupled with sulfonyl chloride (VI) to afford sulfonamide (VIII). The carboxylic acid of (VIII) was activated as the mixed anhydride with ClCOOEt and then treated with ammonia to provide amide (IX). Reduction of this amide with BH3 in THF then furnished intermediate (VII). 3.- Quinazolindione (X) was treated with phosphoryl chloride in the presence of N,N-dimethylaniline to produce 2,4-dichloroquinazoline (XI). Selective amination of (XI) at position 4 with ammonia yielded (XII), which was finally condensed with amine (VII) to afford the title compound, which was isolated as the hydrochloride salt.

参考文献No.583326
标题:Design, synthesis and SAR of a series of 2-substituted 4-amino-quinazoline neuropeptide Y Y5 receptor antagonists
作者:Rueeger, H.; Rigollier, P.; Yamaguchi, Y.; Schmidlin, T.; Schilling, W.; Criscione, L.; Whitebread, S.; Chiesi, M.; Walker, M.W.; Dhanoa, D.S.; Islam, I.; Zhang, J.; Gluchowski, C.
来源:Bioorg Med Chem Lett 2000,10(11),1175
合成路线图解说明:

The intermediate sulfonamide (VII) was prepared by two synthetic routes starting from trans 4-(aminomethyl)cyclohexanecarboxylic acid (I). 1.- The N-Boc derivative (II) was converted to the mixed anhydride with ClCOOMe and then reduced to alcohol (III) using NaBH4. Subsequent conversion of (III) to tosylate, followed by reaction with NaN3, provided azide (IV), which was reduced to amine (V) by hydrogenation over PtO2 (1). Coupling of (V) with 1-naphthalenesulfonyl chloride (VI) produced the corresponding sulfonamide, which by further acid deprotection of the Boc group gave (VII). 2.- In a related procedure, amino acid (I) was coupled with sulfonyl chloride (VI) to afford sulfonamide (VIII). The carboxylic acid of (VIII) was activated as the mixed anhydride with ClCOOEt and then treated with ammonia to provide amide (IX). Reduction of this amide with BH3 in THF then furnished intermediate (VII). 3.- Quinazolindione (X) was treated with phosphoryl chloride in the presence of N,N-dimethylaniline to produce 2,4-dichloroquinazoline (XI). Selective amination of (XI) at position 4 with ammonia yielded (XII), which was finally condensed with amine (VII) to afford the title compound, which was isolated as the hydrochloride salt.

Drug Information Express,Drug R&D,Chemical Database,Patent Search.
Copyright © 2006-2026 Drug Future. All rights reserved.Contact Us