【药物名称】VB-5122
化学结构式(Chemical Structure):
参考文献No.479635
标题:New antioxidants with strong free radical scavenging and xanthine oxidase inhibiting activity
作者:van der Goot, H.; et al.
来源:15th European Federation for Medicinal Chemistry International Symposium on Medicinal Chemistry (Sept 6 1998, Edinburgh) 1998,Abst P.243
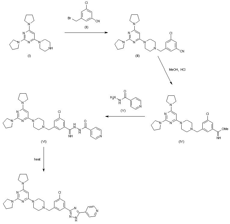
合成路线图解说明:

The condensation of 2,4-bis(1-pyrrolidinyl)-6-(1-piperazinyl)pyrimidine (I) with 3-(bromomethyl)-5-chlorobenzonitrile (II) gives the disubstituted piperazine derivative (III). The partial hydrolysis of the CN group of (III) with methanol/HCl yiedls the iminoether (IV), which is condensed with 4-pyridylcarbonylhydrazide (V) to afford the amidrazone (VI). Finally, this compound is cyclized by heating.

Drug Information Express,Drug R&D,Chemical Database,Patent Search.
Copyright © 2006-2026 Drug Future. All rights reserved.Contact Us