【药物名称】
化学结构式(Chemical Structure):
参考文献No.38005
标题:Tetrahydroisoquinoline derivs. and their pharmaceutical use
作者:Nash, D.J.; Stemp, G. (SmithKline Beecham plc)
来源:EP 0922035; WO 9806699
合成路线图解说明:

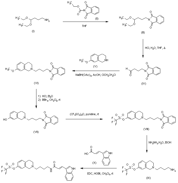
4-Aminobutyraldehyde diethyl acetal (I) was treated with N-(ethoxycarbonyl)phthalimide (II) in THF to produce the phthalimido acetal (III), which was hydrolyzed to aldehyde (IV) with HCl in aqueous THF. Subsequent reductive alkylation of 7-methoxy-1,2,3,4-tetrahydroisoquinoline (V) with (IV) in the presence of sodium triacetoxyborohydride provided (VI). After conversion to the hydrochloride salt, the methyl ether of (VI) was cleaved using BBr3 in CH2Cl2 to give the phenol (VII), which was treated with trifluoromethanesulfonic anhydride in pyridine to afford triflate (VIII). The phthalimido group of (VIII) was then removed with ethanolic hydrazine and the resulting primary amine (IX) was finally coupled with 3-(3-indolyl)acrylic acid (X) in the presence of EDC and HOBt to yield the target amide.

参考文献No.485783
标题:Novel 1,2,3,4-tetrahydroisoquinolines with high affinity and selectivity for the dopamine D3 receptor
作者:Austin, N.E.; Avenell, K.Y.; Boyfield, I.; Branch, C.L.; Coldwell, M.C.; Hadley, M.S.; Jeffrey, P.; Johns, A.; Johnson, C.N.; Nash, D.J.; Riley, G.J.; Smith, S.A.; Stacey, R.C.; Stemp, G.; Thewlis, K.M.; Vong, A.K.
来源:Bioorg Med Chem Lett 1999,9(2),179
合成路线图解说明:

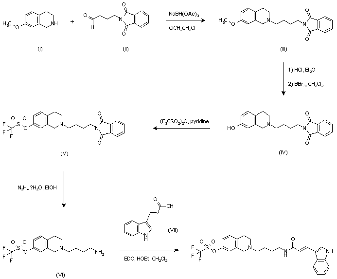
Reductive condensation of tetrahydroisoquinoline (I) with 4-phthalimidobutyraldehyde (II) in the presence of sodium triacetoxy borohydride yielded the phthalimidobutyl isoquinoline (III). O-Demethylation of (III) was then accomplished by conversion to the hydrochloride salt, followed by treatment with BBr3 in CH2Cl2 yielding (IV). Reaction of the resulting 7-hydroxy derivative (IV) with trifluoromethanesulfonic anhydride in pyridine afforded triflate (V). Subsequent treatment of (V) with hydrazine hydrate in EtOH removed the phthalimido group, and the resulting amine (VI) was finally coupled with 3-(3-indolyl)propenoic acid (VII) in the presence of EDC and HOBt to give the target amide.

Drug Information Express,Drug R&D,Chemical Database,Patent Search.
Copyright © 2006-2026 Drug Future. All rights reserved.Contact Us