【药物名称】NM-404
化学结构式(Chemical Structure):
参考文献No.38004
标题:Radioiodinated phospholipid ether analogs and methods of using the same
作者:Weichert, J.P.; Rampy, M.A.; Counsell, R.E.; Longino, M.A.; Pinchuk, A.N. (University of Michigan)
来源:WO 9824480
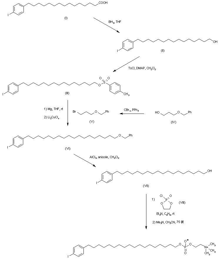
合成路线图解说明:

Iodophenylpentadecanoic acid (I) was reduced to the corresponding alcohol (II) with borane in THF and then converted to the tosylate (III). Treatment of 3-(benzyloxy)propanol (IV) with CBr4 and PPh3 afforded bromide (V). This was treated with Mg in THF and the resulting Grignard reagent was coupled with tosylate (III) in the presence of Li2CuCl4 to provide octadecyl benzyl ether (VI), which was cleaved to the aryl octadecanol (VII) using AlCl3 and anisole. Reaction of alcohol (VII) with phospholane (VIII), followed by condensation with trimethylamine then furnished the title compound.

Drug Information Express,Drug R&D,Chemical Database,Patent Search.
Copyright © 2006-2026 Drug Future. All rights reserved.Contact Us