【药物名称】HI-131, DDE-131
化学结构式(Chemical Structure):
参考文献No.41740
标题:Alkyl ketones as potent anti-cancer agents
作者:Narla, R.K.; Uckun, F.M.; Perry, D.A. (Parker Hughes Institute)
来源:WO 0000469
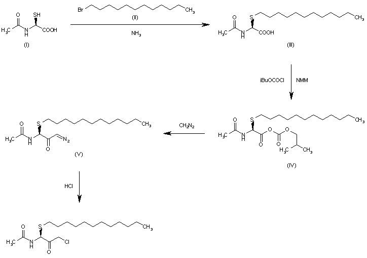
合成路线图解说明:

The alkylation of N-acetyl-L-cysteine (I) with dodecyl bromide (II) by means of ammonia in methanol gives N-acetyl-S-dodecyl-L-cysteine (III), which is treated with isobutyl chloroformate and N-methylmorpholine (NMM) in THF yielding the mixed anhydride (IV). The reaction of (IV) with diazomethane in ethyl ether affords the diazoketone (V), which is finally treated with HCl in ethyl acetate.

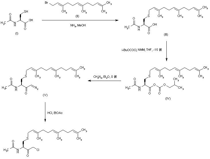
合成路线图解说明:

The alkylation of N-acetyl-L-cysteine (I) with farnesyl bromide (II) in methanolic ammonia provided the corresponding farnesyl thioether (III). After activation of the S-alkylated acid (III) as the mixed anhydride (IV) using isobutyl chloroformate and N-methylmorpholine, reaction with diazomethane yielded the diazomethyl ketone (V). This was then converted into the title chloromethyl ketone by treatment with HCl in ethyl acetate.

Drug Information Express,Drug R&D,Chemical Database,Patent Search.
Copyright © 2006-2026 Drug Future. All rights reserved.Contact Us