【药物名称】JMV-1609
化学结构式(Chemical Structure):
参考文献No.36854
标题:Peptides agonists of bradykinine B2 receptor
作者:Dodey, P.; Luccarini, J.-M.; Martinez, J.; Amblard, M.; Daffix, I. (Fournier Industrie et Sant?
来源:FR 2756566; WO 9824809
合成路线图解说明:

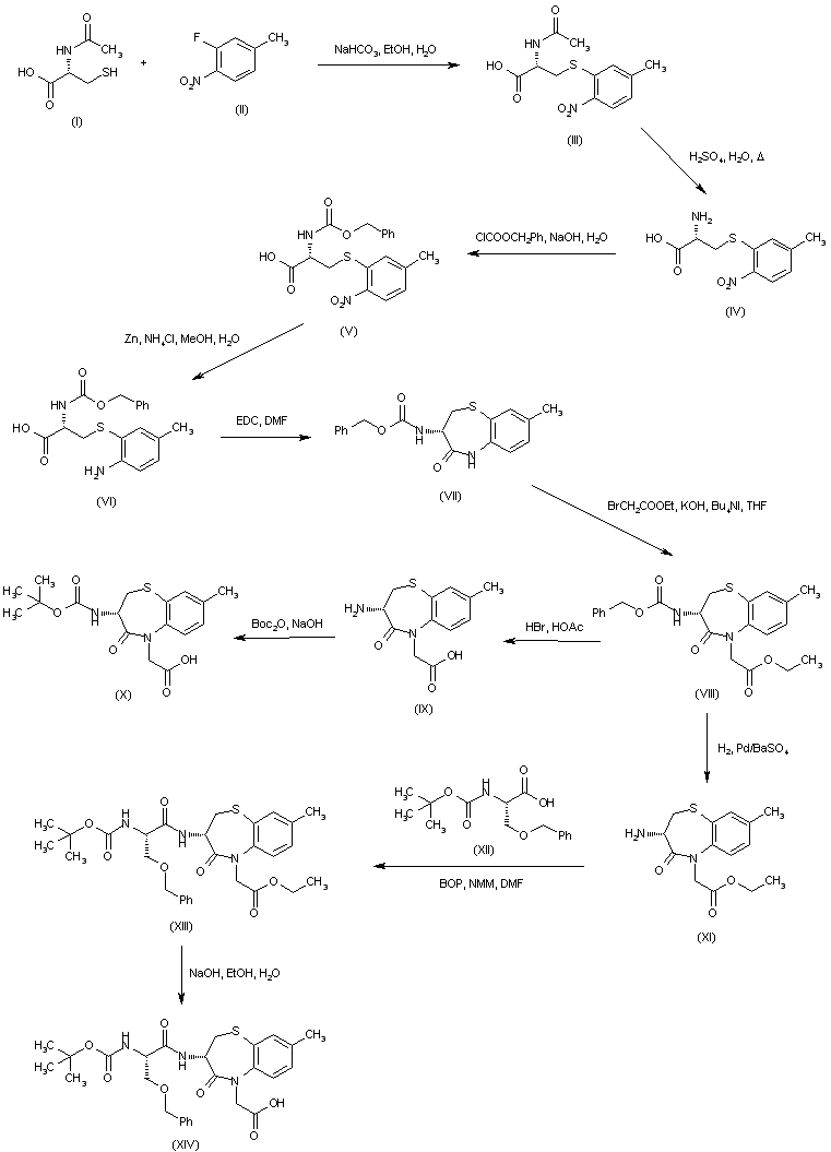
Alkylation of N-acetyl-D-cysteine (I) with 1-fluoro-5-methyl-2-nitrobenzene (II) gave adduct (III). After hydrolysis of the acetamido group of (III) with aqueous sulfuric acid, the resulting amine (IV) was protected as the benzyl carbamate (V). Reduction of the nitro group of (V) provided amino acid (VI), which was cyclized to the benzothiazepinone (VII) using EDC. Subsequent alkylation of (VII) with ethyl bromoacetate under phase-transfer conditions yielded (VIII) (1). Cleavage of both N-Cbz group and ethyl ester by HBr in AcOH, followed by introduction of the N-Boc group afforded intermediate (X) (2). Optionally, hydrogenolysis of the N-Cbz group of (VIII) provided amino lactam (XI). This was coupled with N-Boc-O-benzylserine (XII) to give amide (XIII). Then, basic hydrolysis of the ethyl ester produced carboxylic acid (XIV).

合成路线图解说明:

An alternative access to intermediate (XX) consisted in coupling of arginine-resin (XVI) with building block (XIV) by means of BOP reagent, followed by trifluoroacetic acid deprotection of the Boc group.

合成路线图解说明:

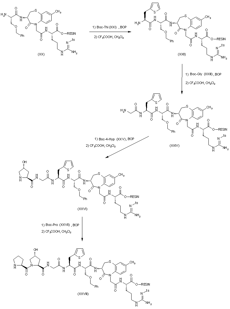
Peptide resin (XX) was subjected to sequential coupling-deprotection cycles with the following amino acids: N-Boc-(2-thienyl)alanine (XXI), N-Boc-glycine (XXIII), N-Boc-4-hydroxyproline (XXV), N-Boc-proline (XXVII), Nalpha-Boc-Ngamma-tosyl-arginine (XXIX) and Nalpha-Boc-Ngamma-nitro-D-arginine (XXXI) to produce peptide resins (XXII), (XXIV), (XXVI), (XXVIII), (XXX) and (XXXII), respectively. The title peptide was finally obtained by deprotection and cleavage from the resin by means of treatment with HF.

合成路线图解说明:

Peptide resin (XX) was subjected to sequential coupling-deprotection cycles with the following amino acids: N-Boc-(2-thienyl)alanine (XXI), N-Boc-glycine (XXIII), N-Boc-4-hydroxyproline (XXV), N-Boc-proline (XXVII), Nalpha-Boc-NG-tosyl-arginine (XXIX) and Nalpha-Boc-NG-nitro-D-arginine (XXXI) to produce peptide resins (XXII), (XXIV), (XXVI), (XXVIII), (XXX) and (XXXII), respectively. The title peptide was finally obtained by deprotection and cleavage from the resin by means of treatment with HF.

参考文献No.551709
标题:Synthesis and characterization of bradykinin B2 receptor agonists containing constrained dipeptide mimics
作者:Amblard, M.; Daffix, I.; Berg? G.; Calmes, M.; Dodey, P.; Pruneau, D.; Paquet, J.L.; Luccarini, J.M.; Belichard, P.; Martinez, J.
来源:J Med Chem 1999,42(20),4193
合成路线图解说明:

Construction of the peptide chain was carried out by solid phase synthesis on a Merrifield resin. The protected arginine bound to the resin (XV) was treated with trifluoroacetic to cleave the N-Boc group. The resulting NG-arginine-resin (XVI) was coupled with benzothiazepineacetic acid (X) by means of BOP reagent to produce (XVII). After deprotection of the Boc group of (XVII) with trifluoroacetic acid, further coupling with protected serine (XII) gave peptide resin (XIX). The Boc group of (XIX) was then deprotected with trifluoroacetic acid as above to furnish intermediate (XX).

合成路线图解说明:

Peptide resin (XX) was subjected to sequential coupling-deprotection cycles with the following amino acids: N-Boc-(2-thienyl)alanine (XXI), N-Boc-glycine (XXIII), N-Boc-4-hydroxyproline (XXV), N-Boc-proline (XXVII), Nalpha-Boc-Ngamma-tosyl-arginine (XXIX) and Nalpha-Boc-Ngamma-nitro-D-arginine (XXXI) to produce peptide resins (XXII), (XXIV), (XXVI), (XXVIII), (XXX) and (XXXII), respectively. The title peptide was finally obtained by deprotection and cleavage from the resin by means of treatment with HF.

合成路线图解说明:

Peptide resin (XX) was subjected to sequential coupling-deprotection cycles with the following amino acids: N-Boc-(2-thienyl)alanine (XXI), N-Boc-glycine (XXIII), N-Boc-4-hydroxyproline (XXV), N-Boc-proline (XXVII), Nalpha-Boc-NG-tosyl-arginine (XXIX) and Nalpha-Boc-NG-nitro-D-arginine (XXXI) to produce peptide resins (XXII), (XXIV), (XXVI), (XXVIII), (XXX) and (XXXII), respectively. The title peptide was finally obtained by deprotection and cleavage from the resin by means of treatment with HF.

Drug Information Express,Drug R&D,Chemical Database,Patent Search.
Copyright © 2006-2026 Drug Future. All rights reserved.Contact Us