【药物名称】PD-174494, Co-101244
化学结构式(Chemical Structure):
参考文献No.480715
标题:Synthesis and SAR of 4-benzyl-4-hydroxy-N-(hydroxy
作者:Zhou, Z.-L.; et al.
来源:216th ACS Natl Meet (Aug. 23-27, Boston) 1998,Abst MEDI 114
合成路线图解说明:

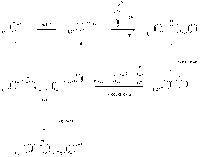
The Grignard reagent (II), prepared form 4-methylbenzyl chloride (I), was condensed to N-benzyl-4-piperidone (III) in cold THF to provide the 4-hydroxy-4-benzylpiperidine (IV). Catalytic hydrogenolysis of the N-benzyl group of (IV) over Pd/C gave piperidine (V), which was then alkylated with 2-(4-benzyloxyphenoxy)ethyl bromide (VI) in refluxing acetonitrile to afford (VII). The O-benzyl group of (VII) was finally cleaved by hydrogenolysis in the presence of Pd(OH)2 to furnish the target compound.

Drug Information Express,Drug R&D,Chemical Database,Patent Search.
Copyright © 2006-2026 Drug Future. All rights reserved.Contact Us