【药物名称】
化学结构式(Chemical Structure):
参考文献No.35311
标题:Substd. benzamide derivs. and their use as anticon
作者:Harling, J.D.; Orlek, B.S.; Thompson, M. (SmithKline Beecham plc)
来源:EP 0906283; US 6110934; WO 9748683
合成路线图解说明:

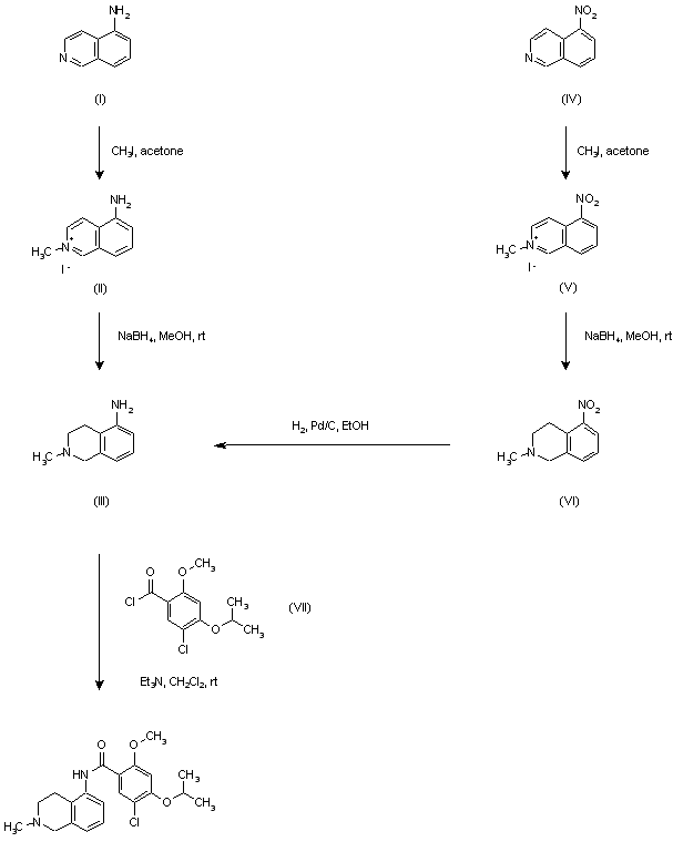
Quaternization of 5-aminoisoquinoline (I) in acetone afforded isoquinolinium salt (II), which was reduced with NaBH4 to the tetrahydroisoquinoline (III). Alternatively, 5-nitroisoquinoline (IV) was quaternized to give (V) and subsequently reduced with NaBH4 to afford 2-methyl-5-nitro-1,2,3,4-tetrahydroisoquinoline (VI), which was further reduced to amine (III) by catalytic hydrogenation over Pd/C. Amine (III) was finally coupled with acid chloride (VII) in the presence of Et3N to provide the title benzamide).

参考文献No.479501
标题:Identification of a series of 1,2,3,4-tetrahydrois
作者:Harling, J.D.; Thompson, M.
来源:216th ACS Natl Meet (Aug. 23-27, Boston) 1998,Abst MEDI 099
合成路线图解说明:

Quaternization of 5-aminoisoquinoline (I) in acetone afforded isoquinolinium salt (II), which was reduced with NaBH4 to the tetrahydroisoquinoline (III). Alternatively, 5-nitroisoquinoline (IV) was quaternized to give (V) and subsequently reduced with NaBH4 to afford 2-methyl-5-nitro-1,2,3,4-tetrahydroisoquinoline (VI), which was further reduced to amine (III) by catalytic hydrogenation over Pd/C. Amine (III) was finally coupled with acid chloride (VII) in the presence of Et3N to provide the title benzamide).

Drug Information Express,Drug R&D,Chemical Database,Patent Search.
Copyright © 2006-2026 Drug Future. All rights reserved.Contact Us