【药物名称】
化学结构式(Chemical Structure):
参考文献No.480046
标题:Synthesis and structure-activity relationships of 9-methoxy-4-oxo-1-phenyl-3,4,6,7-tetrahydro-[1,4]diazepino[6,7,1-hi]indolines: Novel PDE 4 inhibitors
作者:Feru, F.; et al.
来源:216th ACS Natl Meet (Aug. 23-27, Boston) 1998,Abst MEDI 049
合成路线图解说明:

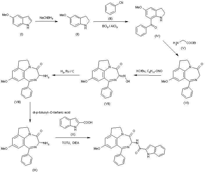
The hydrogenation of 5-methoxy-1H-indole (I) by means of NaCNBH3 in acetic acid gives 5-methoxyindoline (II), which is benzoylated with benzonitrile (III) by means of BCl3/AlCl3 in dichloroethane yielding 7-benzoyl-5-methoxyindoline (IV). The cyclization of (IV) with glycine ethyl ester (V) in pyridine affords the pyrrolo[1,4]benzodiazepine (VI), which is treated with amyl nitrite in toluene/THF to provide the oxime (VII). The reduction of (VII) with H2 over Ru/C in methanol gives the racemic amine (VIII), which is submitted to optical resolution with di-p-toluoyl-D-tartaric acid yielding the corresponding (R)-isomer (IX). Finally, this compound is condensed with 1H-indole-2-carboxylic acid (X) by means of TOTU and DIEA in dichloromethane.

Drug Information Express,Drug R&D,Chemical Database,Patent Search.
Copyright © 2006-2026 Drug Future. All rights reserved.Contact Us