【药物名称】CP-288886
化学结构式(Chemical Structure):
参考文献No.23655
标题:Sulfonamide derivs. of benzenefused hydroxy substd. cycloalkyl and heterocyclic ring cpds.
作者:Marfat, A. (Pfizer Inc.)
来源:EP 0665842; JP 1995508534; US 5641789; WO 9408996
合成路线图解说明:

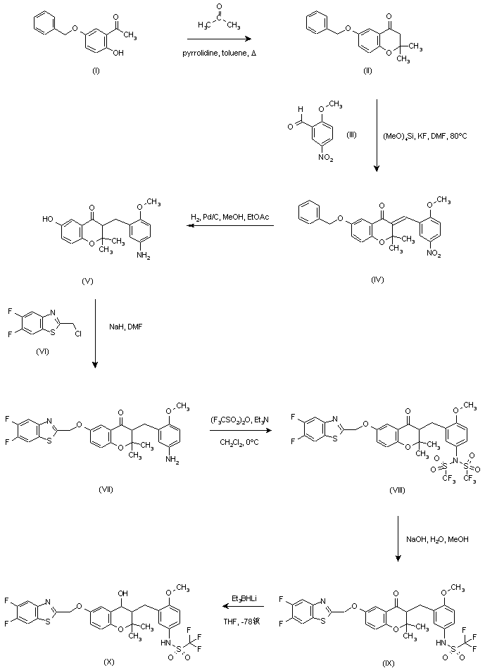
Condensation of 5-(benzyloxy)-2-hydroxyacetophenone (I) with acetone in the presence of pyrrolidine in toluene with azeotropical removal of water yielded chromanone (II). Subsequent aldol condensation of (II) with 2-methoxy-5-nitrobenzaldehyde (III), promoted by tetramethyl orthosilicate and KF, produced the benzylidenechromanone (IV). Palladium-catalysed hydrogenation of the benzylidene double bond of (IV), with concomitant benzyl ether cleavage and nitro group reduction, gave benzylchromanone (V). Then, the phenolic hydroxyl group of (V) was alkylated with 2-(chloromethyl)-7-chloroquinoline (VI) in the presence of NaH in DMF to afford ether (VII). Treatment of (VII) with trifluoromethanesulfonic anhydride and Et3N produced the bis(sulfonamide) (VIII), which after basic hydrolysis yielded the mono-trifluoromethylsulfonamide (IX). Subsequent reduction of (IX) with Super Hydride(R) afforded the racemic cis alcohol (X).

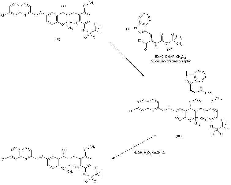
合成路线图解说明:

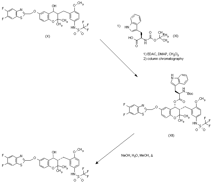
Resolution of (X) was then achieved by esterification with Boc-D-tryptophan (XI), followed by isolation of the desired diastereoisomer (XII) by chromatography, and final saponification with NaOH to give the target dextrorotatory enantiomer.

合成路线图解说明:

Condensation of 5-(benzyloxy)-2-hydroxyacetophenone (I) with acetone in the presence of pyrrolidine in toluene with azeotropical removal of water yielded chromanone (II). Subsequent aldol condensation of (II) with 2-methoxy-5-nitrobenzaldehyde (III), promoted by tetramethyl orthosilicate and KF, produced the benzylidenechromanone (IV). Palladium-catalysed hydrogenation of the benzylidene double bond of (IV) with concomitant benzyl ether cleavage and nitro group reduction, gave benzylchromanone (V). Then, the phenolic hydroxyl group of (V) was alkylated with 2-(chloromethyl)-5,6-difluorobenzothiazole (VI) in the presence of NaH in DMF to afford ether (VII). Treatment of (VII) with trifluoromethanesulfonic anhydride and Et3N produced the bis(sulfonamide) (VIII), which after basic hydrolysis yielded the mono-trifluoromethylsulfonamide (IX). Subsequent reduction of (IX) with Super Hydride(R) afforded the racemic cis alcohol (X).

合成路线图解说明:

Resolution of (X) was then achieved by esterification with Boc-D-tryptophan (XI), followed by isolation of the desired diastereoisomer (XII) by chromatography, and final saponification with NaOH to give the target dextrorotatory enantiomer.

合成路线图解说明:

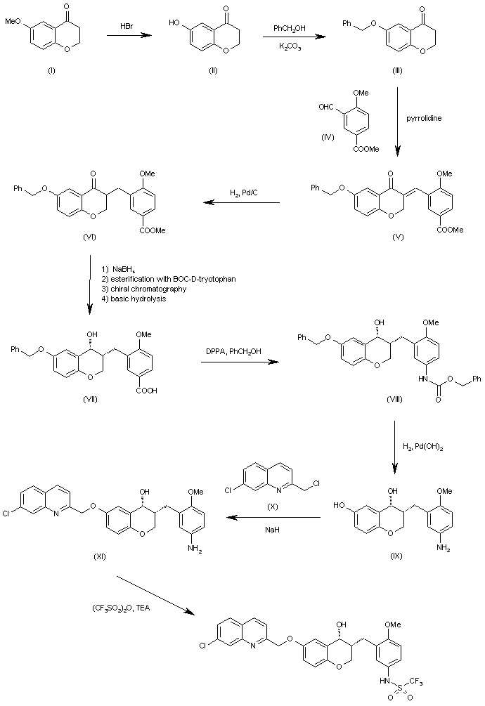
The demethylation of 6-methoxy-3,4-dihydro-2H-1-benzopyran-4-one (I) with 48% HBr in refluxing acetic acid gives the corresponding hydroxy compound (II), which is protected with benzyl bromide and K2CO3 in acetone yielding the benzyl ether (III). The condensation of (III) with 3-formyl-4-methoxybenzoic acid methyl ester (IV) by means of pyrrolidine in methanol affords the benzylidene derivative (V), which is reduced to the corresponding benzyl analogue (VI) with H2 over Pd/C in ethyl acetate. The reduction of the ketone group of (VI) with NaBH4 in MeOH/THF in the presence of CeCl3 gives the expected cis alcohol as a racemic mixture, which is submitted to optical resolution by esterification with Boc-D-tryptophan, chromatographic separation of the diastereomeric mixture, and basic hydrolysis of the ester groups yielding the (3S,4R)-alcohol (VII). The Curtius rearrangement of (VII) by reaction with diphenylphosphoryl azide (DPPA), benzyl alcohol and triethylamine affords carbamate (VIII), which is treated with H2 over Pd(OH)2 in dioxane to give the amine (IX). The condensation of (IX) with 7-chloro-2-(chloromethyl)quinoline (X) by means of NaH in DMF yields the corresponding ether (XI), which is finally treated with trifluoromethanesulfonic anhydride and triethylamine in dichloromethane to afford the target sulfonamide.

参考文献No.480708
标题:Development of 2,2-dimethylchromanol antagonists of leukotriene D4
作者:Chambers, R.J.; et al.
来源:216th ACS Natl Meet (Aug. 23-27, Boston) 1998,Abst MEDI 036
合成路线图解说明:

Condensation of 5-(benzyloxy)-2-hydroxyacetophenone (I) with acetone in the presence of pyrrolidine in toluene with azeotropical removal of water yielded chromanone (II). Subsequent aldol condensation of (II) with 2-methoxy-5-nitrobenzaldehyde (III), promoted by tetramethyl orthosilicate and KF, produced the benzylidenechromanone (IV). Palladium-catalysed hydrogenation of the benzylidene double bond of (IV), with concomitant benzyl ether cleavage and nitro group reduction, gave benzylchromanone (V). Then, the phenolic hydroxyl group of (V) was alkylated with 2-(chloromethyl)-7-chloroquinoline (VI) in the presence of NaH in DMF to afford ether (VII). Treatment of (VII) with trifluoromethanesulfonic anhydride and Et3N produced the bis(sulfonamide) (VIII), which after basic hydrolysis yielded the mono-trifluoromethylsulfonamide (IX). Subsequent reduction of (IX) with Super Hydride(R) afforded the racemic cis alcohol (X).

合成路线图解说明:

Resolution of (X) was then achieved by esterification with Boc-D-tryptophan (XI), followed by isolation of the desired diastereoisomer (XII) by chromatography, and final saponification with NaOH to give the target dextrorotatory enantiomer.

合成路线图解说明:

Condensation of 5-(benzyloxy)-2-hydroxyacetophenone (I) with acetone in the presence of pyrrolidine in toluene with azeotropical removal of water yielded chromanone (II). Subsequent aldol condensation of (II) with 2-methoxy-5-nitrobenzaldehyde (III), promoted by tetramethyl orthosilicate and KF, produced the benzylidenechromanone (IV). Palladium-catalysed hydrogenation of the benzylidene double bond of (IV) with concomitant benzyl ether cleavage and nitro group reduction, gave benzylchromanone (V). Then, the phenolic hydroxyl group of (V) was alkylated with 2-(chloromethyl)-5,6-difluorobenzothiazole (VI) in the presence of NaH in DMF to afford ether (VII). Treatment of (VII) with trifluoromethanesulfonic anhydride and Et3N produced the bis(sulfonamide) (VIII), which after basic hydrolysis yielded the mono-trifluoromethylsulfonamide (IX). Subsequent reduction of (IX) with Super Hydride(R) afforded the racemic cis alcohol (X).

合成路线图解说明:

Resolution of (X) was then achieved by esterification with Boc-D-tryptophan (XI), followed by isolation of the desired diastereoisomer (XII) by chromatography, and final saponification with NaOH to give the target dextrorotatory enantiomer.

参考文献No.483527
标题:Development of 2,2-dimethylchromanol cysteinyl LT1 receptor antagonists
作者:Chambers, R.J.; Antognoli, G.W.; Cheng, J.B.; Kuperman, A.V.; Liston, T.C.; Marfat, A.; Owens, B.S.; Pillar, J.S.; Shirley, J.T.; Watson, J.W.
来源:Bioorg Med Chem Lett 1998,8(24),3577
合成路线图解说明:

Condensation of 5-(benzyloxy)-2-hydroxyacetophenone (I) with acetone in the presence of pyrrolidine in toluene with azeotropical removal of water yielded chromanone (II). Subsequent aldol condensation of (II) with 2-methoxy-5-nitrobenzaldehyde (III), promoted by tetramethyl orthosilicate and KF, produced the benzylidenechromanone (IV). Palladium-catalysed hydrogenation of the benzylidene double bond of (IV), with concomitant benzyl ether cleavage and nitro group reduction, gave benzylchromanone (V). Then, the phenolic hydroxyl group of (V) was alkylated with 2-(chloromethyl)-7-chloroquinoline (VI) in the presence of NaH in DMF to afford ether (VII). Treatment of (VII) with trifluoromethanesulfonic anhydride and Et3N produced the bis(sulfonamide) (VIII), which after basic hydrolysis yielded the mono-trifluoromethylsulfonamide (IX). Subsequent reduction of (IX) with Super Hydride(R) afforded the racemic cis alcohol (X).

合成路线图解说明:

Resolution of (X) was then achieved by esterification with Boc-D-tryptophan (XI), followed by isolation of the desired diastereoisomer (XII) by chromatography, and final saponification with NaOH to give the target dextrorotatory enantiomer.

合成路线图解说明:

Condensation of 5-(benzyloxy)-2-hydroxyacetophenone (I) with acetone in the presence of pyrrolidine in toluene with azeotropical removal of water yielded chromanone (II). Subsequent aldol condensation of (II) with 2-methoxy-5-nitrobenzaldehyde (III), promoted by tetramethyl orthosilicate and KF, produced the benzylidenechromanone (IV). Palladium-catalysed hydrogenation of the benzylidene double bond of (IV) with concomitant benzyl ether cleavage and nitro group reduction, gave benzylchromanone (V). Then, the phenolic hydroxyl group of (V) was alkylated with 2-(chloromethyl)-5,6-difluorobenzothiazole (VI) in the presence of NaH in DMF to afford ether (VII). Treatment of (VII) with trifluoromethanesulfonic anhydride and Et3N produced the bis(sulfonamide) (VIII), which after basic hydrolysis yielded the mono-trifluoromethylsulfonamide (IX). Subsequent reduction of (IX) with Super Hydride(R) afforded the racemic cis alcohol (X).

合成路线图解说明:

Resolution of (X) was then achieved by esterification with Boc-D-tryptophan (XI), followed by isolation of the desired diastereoisomer (XII) by chromatography, and final saponification with NaOH to give the target dextrorotatory enantiomer.

参考文献No.528584
标题:Aldol condensation of 6-alkoxy-2,2-dimethylchroman-4-ones with substituted benzaldehydes using tetramethylorthosilicate and potassium fluoride
作者:Marfat, A.; Chambers, R.J.
来源:J Heterocycl Chem 1995,32(4),1401
合成路线图解说明:

Condensation of 5-(benzyloxy)-2-hydroxyacetophenone (I) with acetone in the presence of pyrrolidine in toluene with azeotropical removal of water yielded chromanone (II). Subsequent aldol condensation of (II) with 2-methoxy-5-nitrobenzaldehyde (III), promoted by tetramethyl orthosilicate and KF, produced the benzylidenechromanone (IV). Palladium-catalysed hydrogenation of the benzylidene double bond of (IV), with concomitant benzyl ether cleavage and nitro group reduction, gave benzylchromanone (V). Then, the phenolic hydroxyl group of (V) was alkylated with 2-(chloromethyl)-7-chloroquinoline (VI) in the presence of NaH in DMF to afford ether (VII). Treatment of (VII) with trifluoromethanesulfonic anhydride and Et3N produced the bis(sulfonamide) (VIII), which after basic hydrolysis yielded the mono-trifluoromethylsulfonamide (IX). Subsequent reduction of (IX) with Super Hydride(R) afforded the racemic cis alcohol (X).

合成路线图解说明:

Resolution of (X) was then achieved by esterification with Boc-D-tryptophan (XI), followed by isolation of the desired diastereoisomer (XII) by chromatography, and final saponification with NaOH to give the target dextrorotatory enantiomer.

合成路线图解说明:

Condensation of 5-(benzyloxy)-2-hydroxyacetophenone (I) with acetone in the presence of pyrrolidine in toluene with azeotropical removal of water yielded chromanone (II). Subsequent aldol condensation of (II) with 2-methoxy-5-nitrobenzaldehyde (III), promoted by tetramethyl orthosilicate and KF, produced the benzylidenechromanone (IV). Palladium-catalysed hydrogenation of the benzylidene double bond of (IV) with concomitant benzyl ether cleavage and nitro group reduction, gave benzylchromanone (V). Then, the phenolic hydroxyl group of (V) was alkylated with 2-(chloromethyl)-5,6-difluorobenzothiazole (VI) in the presence of NaH in DMF to afford ether (VII). Treatment of (VII) with trifluoromethanesulfonic anhydride and Et3N produced the bis(sulfonamide) (VIII), which after basic hydrolysis yielded the mono-trifluoromethylsulfonamide (IX). Subsequent reduction of (IX) with Super Hydride(R) afforded the racemic cis alcohol (X).

合成路线图解说明:

Resolution of (X) was then achieved by esterification with Boc-D-tryptophan (XI), followed by isolation of the desired diastereoisomer (XII) by chromatography, and final saponification with NaOH to give the target dextrorotatory enantiomer.

Drug Information Express,Drug R&D,Chemical Database,Patent Search.
Copyright © 2006-2026 Drug Future. All rights reserved.Contact Us