【药物名称】PGE-2946979
化学结构式(Chemical Structure):
参考文献No.36014
标题:1,4-Heterocyclic metalloprotease inhibitors
作者:De, B.; Natchus, M.G.; Pikul, S.; Almstead, N.G.; Matthews, R.S.; Taiwo, Y.O.; Cheng, M. (The Procter & Gamble Co.)
来源:EP 0923563; EP 0925287; WO 9808825; WO 9808827
合成路线图解说明:

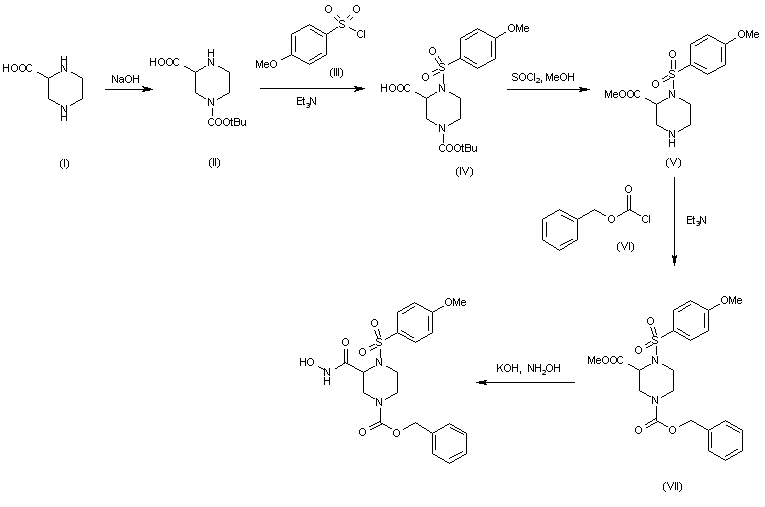
The selective protection of piperazine-2-carboxylic acid (I) with tert-butoxycarbonyl anhydride gives the carbamate (II), which is sulfonated with 4-methoxybenzenesulfonyl chloride (II) and triethylamine yielding the sulfonamide (IV). The esterification and simultaneous deprotection of (IV) with SOCl2 and methanol affords the methyl ester (V), which is treated with benzyl chloroformate (VI) and triethylamine to afford the benzyloxycarbonyl derivative (VII). Finally, this compound is treated with KOH and hydroxylamine in methanol to provide the target hydroxamic acid.

合成路线图解说明:

The selective protection of piperazine-2-carboxylic acid (I) with tert-butoxycarbonyl anhydride gives the carbamate (II), which is sulfonated with 4-methoxybenzenesulfonyl chloride (II) and triethylamine yielding the sulfonamide (IV). The esterification and simultaneous deprotection of (IV) with SOCl2 and methanol affords the methyl ester (V), which is treated with phosgene and N-benzyl-N-methylamine (VI) to afford the cyclic urea derivative (VII). Finally, this compound is treated with KOH and hydroxylamine in methanol to provide the target hydroxamic acid.

参考文献No.479790
标题:Design and synthesis of piperazine-based MMP inhibitors
作者:Pikul, S.; Natchus, M.G.; Cheng, M.; et al.
来源:216th ACS Natl Meet (Aug. 23-27, Boston) 1998,Abst MEDI 044
合成路线图解说明:

The selective protection of piperazine-2-carboxylic acid (I) with tert-butoxycarbonyl anhydride gives the carbamate (II), which is sulfonated with 4-methoxybenzenesulfonyl chloride (II) and triethylamine yielding the sulfonamide (IV). The esterification and simultaneous deprotection of (IV) with SOCl2 and methanol affords the methyl ester (V), which is treated with benzyl chloroformate (VI) and triethylamine to afford the benzyloxycarbonyl derivative (VII). Finally, this compound is treated with KOH and hydroxylamine in methanol to provide the target hydroxamic acid.

Drug Information Express,Drug R&D,Chemical Database,Patent Search.
Copyright © 2006-2026 Drug Future. All rights reserved.Contact Us