【药物名称】XQ-786
化学结构式(Chemical Structure):
参考文献No.31813
标题:Amides for the treatment of atherosclerosis
作者:Ko, S.S.; Wilde, R.G.; DeLucca, I.; Li, H.-Y.; Kezar, H.S. III; Boswell, G.A.; Srivastava, A.S. (DuPont Pharmaceuticals Co.)
来源:US 5583147
合成路线图解说明:

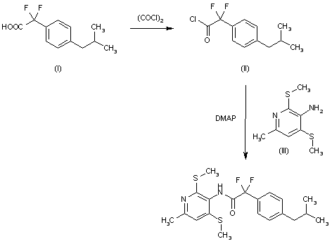
The reaction of 2,2-difluoro-2-(4-isobutylphenyl)acetic acid (I) with oxalyl chloride in dichloromethane gives the corresponding acyl chloride (II), which is then treated with 6-methyl-2,4-bis(methylsulfanyl)pyridine-3-amine (III) and 4-(dimethylamino)pyridine (DMAP) in the same solvent.

Drug Information Express,Drug R&D,Chemical Database,Patent Search.
Copyright © 2006-2026 Drug Future. All rights reserved.Contact Us