【药物名称】XJ-304
化学结构式(Chemical Structure):
参考文献No.447483
标题:Design, synthesis and structure-activity relationship studies of novel 4,4-bis(trifluoromethyl)imidazolines as acyl-CoA:cholesterol acyltransferase (ACAT) inhibitors and antihypercholesterolemic agents
作者:Li, H.-Y.; DeLucca, I.; Boswell, G.A.; Billheimer, J.T.; Drummond, S.; Gillies, P.J.; Robinson, C.
来源:Bioorg Med Chem 1997,5(7),1345
合成路线图解说明:

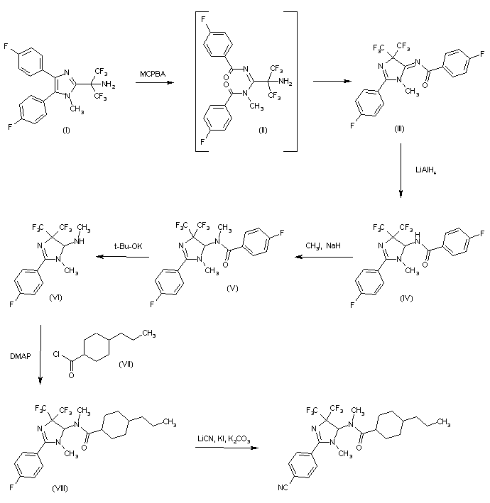
The oxidative ring opening of diphenylimidazole (I) with m-chloroperbenzoic acid (MCPBA) in refluxing chloroform or dichloromethane gives the intermediate, not isolated, bisbenzamide (II), which by acid catalyzed dehydrocyclization yields the imidazoline (III). The hydrogenation of the exo double bond of (III) with LiAlH4 in methanol affords N-imidazolinylbenzamide (IV), which is methylated with methyl iodide and NaH in DMF to provide the N-disubstituted benzamide (V). The hydrolysis of benzamide (V) with potassium tert-butoxide gives the seconday amine (VI), which is acylated with 4-propylcyclohexylcarbonyl chloride (VII) by means of DMAP and triethylamine or pyridine in dichloromethane or dichloroethane to yield the amide (VIII). Finally, this compound is treated with LiCN, KI and K2CO3 in DMSO at 130-40 C.

Drug Information Express,Drug R&D,Chemical Database,Patent Search.
Copyright © 2006-2026 Drug Future. All rights reserved.Contact Us