【药物名称】LFM-A12
化学结构式(Chemical Structure):
参考文献No.45080
标题:Inhibitors of the EGF-receptor tyrosine kinase and their use
作者:Ghosh, S.; Uckun, F.M.; Zheng, Y. (Parker Hughes Institute)
来源:WO 0056703
合成路线图解说明:

Two synthetic ways have been reported for the compound. Coupling of cyanoacetic acid (II) to 4-(trifluoromethoxy)aniline (I) in the presence of diisopropylcarbodiimide formed the cyanoacetamide (III), which was treated with NaH and then acylated with acetyl chloride to yield the title compound.

参考文献No.480055
标题:alpha-Cyano-beta-hydroxy-beta-methyl-N-[4-(trifluoromethoxy)phenyl]propenamide: An inhibitor of the epidermal growth factor receptor tyrosine kinase with potent cytotoxic activity
作者:Ghosh, S.; Zheng, Y.; Jun, X.; Narla, R.K.; Mahajan, S.; Navara, C.; Mao, C.; Sudbeck, E.A.; Uckun, F.M.
来源:Clin Cancer Res 1998,4(11),2657
合成路线图解说明:

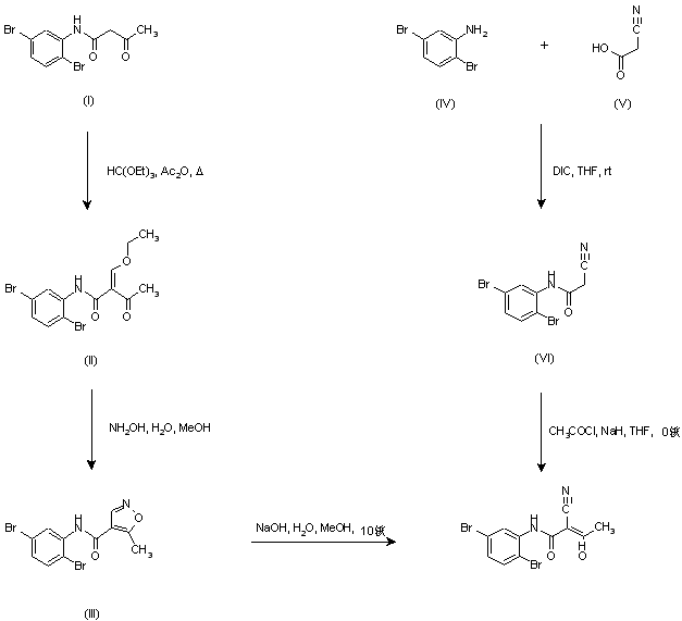
Title compound has been prepared by two synthetic ways: 1) Condensation of the acetoacetanilide (I) with triethyl orthoformate in the presence of Ac2O provided the ethoxymethylene compound (II), which was reacted with hydroxylamine in methanol-water to afford isoxazole (III). Ring opening of the heterocycle with NaOH then gave the target cyanoacetanilide. 2) In a different procedure, cyanoacetic acid (V) was coupled with 2,5-dibromoaniline (IV) in the presence of diisopropyl carbodiimide (DIC) to form cyanoacetanilide (VI), which was acylated using acetyl chloride and NaH to afford the hydroxyethylidene derivative.

合成路线图解说明:

Two synthetic ways have been reported for the compound. Coupling of cyanoacetic acid (II) to 4-(trifluoromethoxy)aniline (I) in the presence of diisopropylcarbodiimide formed the cyanoacetamide (III), which was treated with NaH and then acylated with acetyl chloride to yield the title compound.

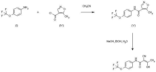
合成路线图解说明:

Alternatively, aniline (I) was coupled with 5-methylisoxazole-4-carbonyl chloride (IV) to provide the isoxazolecarboxamide (V). The isoxazole ring was then opened with NaOH to furnish the target cyanopropenamide.

Drug Information Express,Drug R&D,Chemical Database,Patent Search.
Copyright © 2006-2026 Drug Future. All rights reserved.Contact Us