【药物名称】DMP-695
化学结构式(Chemical Structure):
参考文献No.34392
标题:Arylamino fused pyridines and pyrimidines
作者:Bakthavatchalam, R.; Arvanitis, A.G.; Beck, J.P.; Cain, G.A.; Chorvat, R.J.; Gilligan, P.J.; Olson, R.E. (DuPont Pharmaceuticals Co.)
来源:EP 0935601; WO 9735539
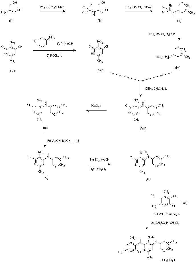
合成路线图解说明:

Serinol (I) was protected with triphenylmethyl chloride giving the N-trityl derivative (II), which was O-methylated using CH3I and NaH to afford the bis(methyl ether) (III). Subsequent acid deprotection of the trityl group of (III) provided 1,3-dimethoxy-2-aminopropane (IV). The hydroxypyridone (V) was converted to the salt with cyclohexylamine (VI), and then treated with phosphoryl chloride to produce the 4-chloropyridone (VII), which was condensed with amine (IV) to yield the aminopyridone (VIII). Further treatment of (VIII) with phosphoryl chloride gave 2-chloropyridine (IX). The nitro group of (IX) was then reduced with iron powder and AcOH, and the resulting diamino pyridine (X) was treated with NaNO2 and AcOH to produce the triazolopyridine (XI). Finally, coupling of (XI) with 2-chloro-4,6-dimethylaniline (XII) in the presence of p-TsOH provided the title compound, which was isolated as the mesylate salt.

Drug Information Express,Drug R&D,Chemical Database,Patent Search.
Copyright © 2006-2026 Drug Future. All rights reserved.Contact Us