【药物名称】UR-12947
化学结构式(Chemical Structure):
参考文献No.37621
标题:Novel carboxamides as platelet aggregation inhibitors
作者:Carceller, E.; Jim閚ez, P.J.; Salas, J. (J. Uriach & C韆., SA)
来源:WO 9846599
合成路线图解说明:

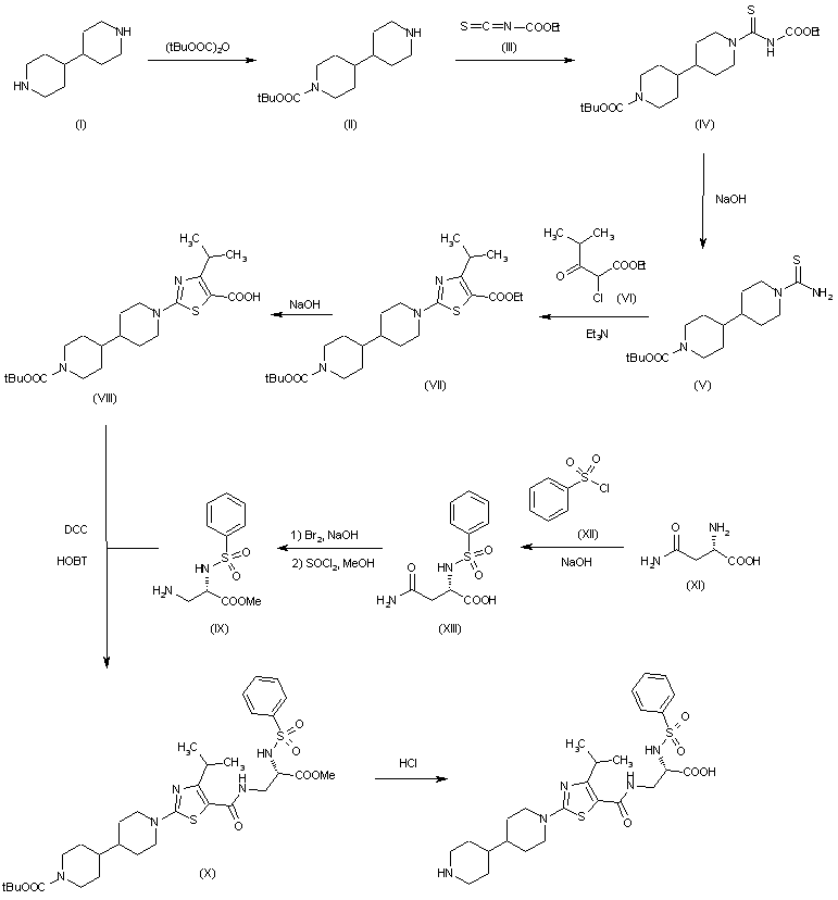
The selective monoprotection of 4-(4-piperidyl)piperidine (I) gives the carbamate (II), which is condensed with the isothiocyante (III) in chloroform to yield the N-(ethoxycarbonyl)carbothioamide (IV). Decarboxylation of (IV) by means of NaOH in ethanol affords the free thioamide (V), which is cyclized with 2-chloro-4-methyl-3-oxopentanoic acid ethyl ester (VI) by means of triethylamine in ethanol to provide the thiazole derivative (VII). Hydrolysis of theester group of (VII) with NaOH in ethanol gives the carboxylic acid (VIII), which is condensed with 3-amino-2(S)-(phenylsulfonamido)propionic acid methyl ester (IX), by means of DCC, HOBT and triethylamine in DMF yielding the protected target compound (X). Finally, this compound is hydrolyzed and deprotected by a treatment with HCl in ethanol. The intermediate 3-amino-2(S)-(phenylsulfonamido)propionic acid methyl ester (IX) has been obtained as follows: The reaction of L-asparagine (XI) with benzenesulfonyl chloride (XII) by means of NaOH in dioxane/water gives the sulfonated asparagine (XIII), which is submitted to Hofmann degradation with Br2 and NaOH in water and finally esterified with SOCl2 and methanol.

参考文献No.475763
标题:Novel N-(thiazolyl-5-carbonyl)-beta-alanine derivatives as potent, orally active fibrinogen receptor antagonists
作者:Forn, J.; Merlos, M.; Garc韆-Rafanell, J.; Carceller, E.; G髆ez, L.A.
来源:216th ACS Natl Meet (Aug. 23-27, Boston) 1998,Abst MEDI 079
合成路线图解说明:

The selective monoprotection of 4-(4-piperidyl)piperidine (I) gives the carbamate (II), which is condensed with the isothiocyante (III) in chloroform to yield the N-(ethoxycarbonyl)carbothioamide (IV). Decarboxylation of (IV) by means of NaOH in ethanol affords the free thioamide (V), which is cyclized with 2-chloro-4-methyl-3-oxopentanoic acid ethyl ester (VI) by means of triethylamine in ethanol to provide the thiazole derivative (VII). Hydrolysis of theester group of (VII) with NaOH in ethanol gives the carboxylic acid (VIII), which is condensed with 3-amino-2(S)-(phenylsulfonamido)propionic acid methyl ester (IX), by means of DCC, HOBT and triethylamine in DMF yielding the protected target compound (X). Finally, this compound is hydrolyzed and deprotected by a treatment with HCl in ethanol. The intermediate 3-amino-2(S)-(phenylsulfonamido)propionic acid methyl ester (IX) has been obtained as follows: The reaction of L-asparagine (XI) with benzenesulfonyl chloride (XII) by means of NaOH in dioxane/water gives the sulfonated asparagine (XIII), which is submitted to Hofmann degradation with Br2 and NaOH in water and finally esterified with SOCl2 and methanol.

Drug Information Express,Drug R&D,Chemical Database,Patent Search.
Copyright © 2006-2026 Drug Future. All rights reserved.Contact Us