【药物名称】SA-862
化学结构式(Chemical Structure):
参考文献No.37962
标题:Oxygen or sulfur containing heteroaromatics as fac
作者:Quan, M.L.; Pinto, D.J.P.; Fevig, J.M.; Pruitt, J.R. (DuPont Pharmaceuticals Co.)
来源:WO 9828282
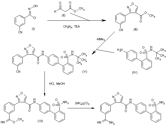
合成路线图解说明:

3-Cyanobenzaldehyde oxime (I) was treated with N-chlorosuccinimide to afford hydroxyiminoyl chloride (II). Subsequent cycloaddition of the intermediate nitrile oxide, generated in situ from (II) and Et3N, with methyl methoxyacrylate (III) produced isoxazole (IV). Then, basic hydrolysis of the ester group, followed by treatment with SOCl2 provided acid chloride (V). Aminobiphenyl (VIII) was obtained by Suzuki coupling of 4-bromoaniline (VI) with boronic acid (VII) using a palladium catalyst. Condensation of (VIII) with acid chloride (V) in the presence of Et3N then gave amide (IX). Alternatively, amide (IX) was obtained by AlMe3-catalyzed condensation of ester (IV) with amine (VIII). Treatment of nitrile (IX) with HCl in MeOH-CHCl3 generated the corresponding iminoester (X) with concomitant cleavage of the N-tert-butyl group. Finally, reaction of this iminoester with methanolic ammonium carbonate afforded the target amidine.

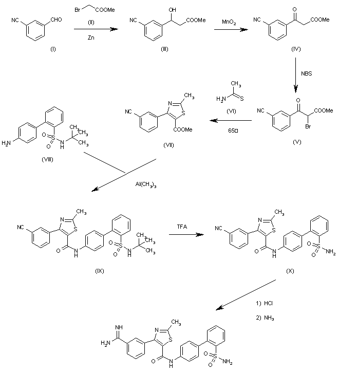
合成路线图解说明:

The reaction of 3-formylbenzonitrile (I) with methyl 2-bromoacetate (II) by means of activated Zn in hot THF gives 3-(3-cyanophenyl)-3-hydroxypropionic acid methyl ester (III), which is oxidized with activated MnO2 in hot dichloromethane yielding the oxoester (IV). The bromination of (IV) with NBS in CCl4 affords the alpha bromo derivative (V), which is cyclized with thioacetamide (VI) in hot THF affording 4-(3-cyanophenyl)-2-methylthiazole-5-carboxylic acid methyl ester (VII). The condensation of (VII) with 4'-amino-N-tert-butylbiphenyl-2-sulfonamide (VIII) by means of trimethylaluminum in toluene/dichloromethane gives the corresponding amide (IX), which is treated with hot TFA to eliminate the ter-butyl protecting group yielding intermediate (X). Finally, the cyano group of (X) is treated first with anhydrous HCl in methanol, and finally with ammonium carbonate in the same solvent to obtain the target amidine.

参考文献No.47709
标题:Phenyl-isoxazoles as factor Xa inhibitors
作者:Pinto, D.J.P.; Pruitt, J.R.; Fevig, J.M.; Quan, M.L. (DuPont Pharmaceuticals Co.)
来源:US 6187797
合成路线图解说明:

3-Cyanobenzaldehyde oxime (I) was treated with N-chlorosuccinimide to afford hydroxyiminoyl chloride (II). Subsequent cycloaddition of the intermediate nitrile oxide, generated in situ from (II) and Et3N, with methyl methoxyacrylate (III) produced isoxazole (IV). Then, basic hydrolysis of the ester group, followed by treatment with SOCl2 provided acid chloride (V). Aminobiphenyl (VIII) was obtained by Suzuki coupling of 4-bromoaniline (VI) with boronic acid (VII) using a palladium catalyst. Condensation of (VIII) with acid chloride (V) in the presence of Et3N then gave amide (IX). Alternatively, amide (IX) was obtained by AlMe3-catalyzed condensation of ester (IV) with amine (VIII). Treatment of nitrile (IX) with HCl in MeOH-CHCl3 generated the corresponding iminoester (X) with concomitant cleavage of the N-tert-butyl group. Finally, reaction of this iminoester with methanolic ammonium carbonate afforded the target amidine.

参考文献No.479500
标题:Isoxazolines and isoxazoles as factor Xa inhibitor
作者:Wexler, R.R.; Bostrom, L.L.; Pinto, D.J.; Wrong, P.C.; Pruitt, J.R.; Knabb, R.M.; Estrella, M.J.; Quan, M.L.
来源:216th ACS Natl Meet (Aug. 23-27, Boston) 1998,Abst MEDI 077
合成路线图解说明:

3-Cyanobenzaldehyde oxime (I) was treated with N-chlorosuccinimide to afford hydroxyiminoyl chloride (II). Subsequent cycloaddition of the intermediate nitrile oxide, generated in situ from (II) and Et3N, with methyl methoxyacrylate (III) produced isoxazole (IV). Then, basic hydrolysis of the ester group, followed by treatment with SOCl2 provided acid chloride (V). Aminobiphenyl (VIII) was obtained by Suzuki coupling of 4-bromoaniline (VI) with boronic acid (VII) using a palladium catalyst. Condensation of (VIII) with acid chloride (V) in the presence of Et3N then gave amide (IX). Alternatively, amide (IX) was obtained by AlMe3-catalyzed condensation of ester (IV) with amine (VIII). Treatment of nitrile (IX) with HCl in MeOH-CHCl3 generated the corresponding iminoester (X) with concomitant cleavage of the N-tert-butyl group. Finally, reaction of this iminoester with methanolic ammonium carbonate afforded the target amidine.

参考文献No.577364
标题:Isoxazolines and isoxazoles as factor Xa inhibitors
作者:Pruitt, J.R.; Pinto, D.J.; Estrella, M.J.; Bostrom, L.L.; Knabb, R.M.; Wong, P.C.; Wright, M.R.; Wexler, R.R.
来源:Bioorg Med Chem Lett 2000,10(8),685
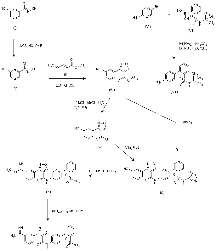
合成路线图解说明:

The cyclization of the chlorooxime (I) with formylacetic methyl ester (II) by means of diazomethane and TEA gives the 3-(3-cyanophenyl)isoxazole-4-carboxylic acid methyl ester (III), which is condensed with 4'-amino-N-tert-butylbiphenyl-2-sulfonamide (IV) by means of AlMe3 to yield the corresponding amide (V). The methanolysis of the cyano group of (V) with HCl and methanol affords the iminoester (VI), which is finally converted into the target amidine by reaction with ammonium carbonate.

Drug Information Express,Drug R&D,Chemical Database,Patent Search.
Copyright © 2006-2026 Drug Future. All rights reserved.Contact Us