【药物名称】YM-58790
化学结构式(Chemical Structure):
参考文献No.480693
标题:Selective muscarinic antagonists. I. Synthesis and
作者:Naito, R.; Takeuchi, M.; Morihira, K.; Hayakawa, M.; Ikeda, K.; Shibanuma, T.; Isomura, Y.
来源:Chem Pharm Bull 1998,46(8),1274
合成路线图解说明:

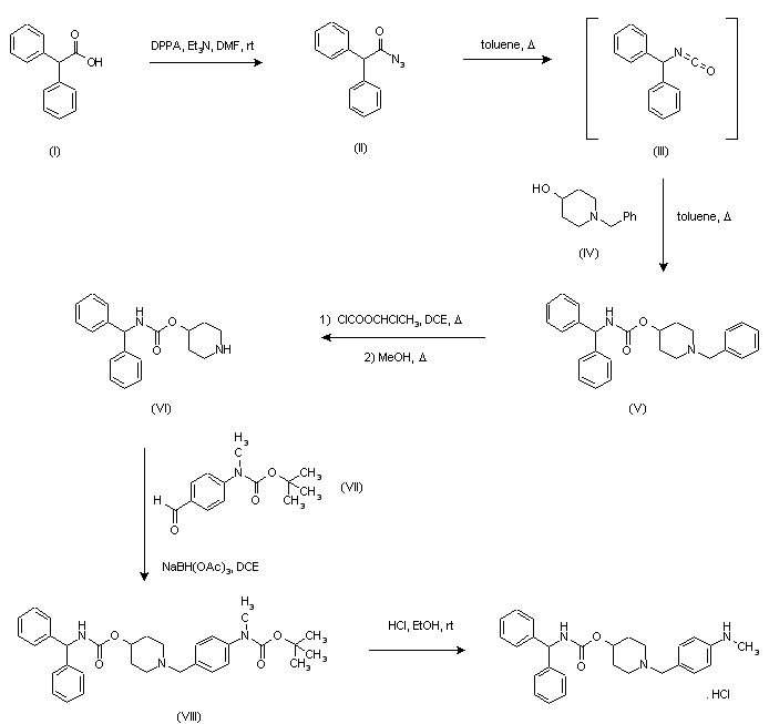
Treatment of 2,2-diphenylacetic acid (I) with diphenyl phosphoryl azide (DPPA) yielded acyl azide (II). Then, Curtius rearrangement of (II) in boiling toluene produced the intermediate isocyanate (III), which was coupled with 1-benzyl-4-piperidinol (IV) to afford the corresponding carbamate (V). Subsequent N-debenzylation of (V) was achieved by reaction with 1-chloroethyl chloroformate in refluxing 1,2-dichloroethane, followed by methanolysis to give (VI). Reductive alkylation of (VI) with aldehyde (VII) in the presence of sodium triacetoxyborohydride furnished the substituted benzyl piperidine (VIII). The N-Boc protecting group of (VIII) was finally removed with ethanolic HCl to provide the title compound.

Drug Information Express,Drug R&D,Chemical Database,Patent Search.
Copyright © 2006-2026 Drug Future. All rights reserved.Contact Us