【药物名称】NK-3201
化学结构式(Chemical Structure):
参考文献No.36079
标题:Novel acetamide derivs. and protease inhibitors
作者:Suzuki, Y.; Ishida, K. (Nippon Kayaku Co., Ltd.)
来源:EP 0936216; US 6271238; WO 9809949
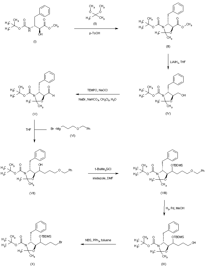
合成路线图解说明:

Hydroxy amino ester (I) was protected as the oxazolidine (III) upon heating with 2,2-dimethoxypropane (II) in the presence of p-toluenesulfonic acid. Conversion of the ester group of (III) into aldehyde (V) was accomplished by reduction to alcohol (IV) with LiAlH4, followed by NaOCl oxidation catalyzed by 2,2,6,6-tetramethyl-1-piperidinyloxy free radical (TEMPO) and NaBr. Addition of 3-(benzyloxy)propylmagnesium bromide (VI) to aldehyde (V) furnished carbinol (VII), which was further protected as the silyl ether (VIII) by treatment with tert-butyldimethylsilyl chloride and imidazole. After hydrogenolysis of the O-benzyl protecting group of (VIII), the resultant primary alcohol (IX) was converted to bromide (X) employing the N-bromosuccinimide/triphenylphosphine reagent.

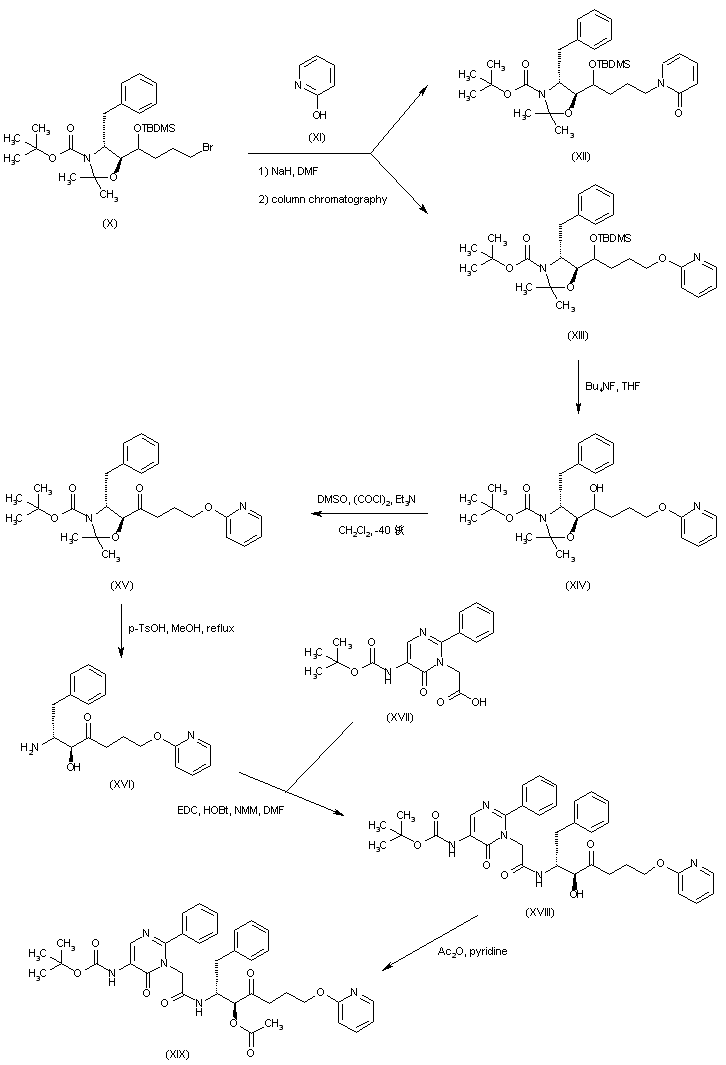
合成路线图解说明:

Alkylation of 2-hydroxypyridine (XI) with bromide (X) produced a mixture of the N-alkylated pyridone (XII) and the pyridyl ether (XIII), which were separated by column chromatography. The required minor regioisomer (XIII) was desilylated with tetrabutylammonium fluoride, and the resultant alcohol (XIV) was oxidized under Swern conditions to the ketone (XV). Acidic hydrolysis of the cyclic aminal function of (XV) furnished amino alcohol (XVI). This was then coupled with the pyrimidinylacetic acid (XVII) to yield amide (XVIII). The free hydroxyl group of (XVIII) was subsequently esterified with acetic anhydride giving ester (XIX).

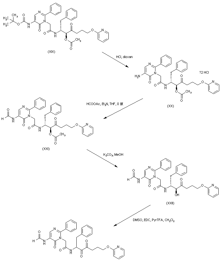
合成路线图解说明:

Acidic Boc group cleavage from (XIX) produced amine (XX). This was converted to formamide (XXI) upon treatment with in situ-generated formic acetic anhydride. Selective hydrolysis of the acetate ester of (XXI) was then achieved by treatment with K2CO3 in MeOH. The resultant keto alcohol (XXII) was finally oxidized to the title diketone employing DMSO in the presence of EDC and pyridinium trifluoroacetate

参考文献No.725980
标题:NK-3201
作者:Doggrell, S.A.; Casta馿r, J.
来源:Drugs Fut 2003,28(4),323
合成路线图解说明:

Hydroxy amino ester (I) was protected as the oxazolidine (III) upon heating with 2,2-dimethoxypropane (II) in the presence of p-toluenesulfonic acid. Conversion of the ester group of (III) into aldehyde (V) was accomplished by reduction to alcohol (IV) with LiAlH4, followed by NaOCl oxidation catalyzed by 2,2,6,6-tetramethyl-1-piperidinyloxy free radical (TEMPO) and NaBr. Addition of 3-(benzyloxy)propylmagnesium bromide (VI) to aldehyde (V) furnished carbinol (VII), which was further protected as the silyl ether (VIII) by treatment with tert-butyldimethylsilyl chloride and imidazole. After hydrogenolysis of the O-benzyl protecting group of (VIII), the resultant primary alcohol (IX) was converted to bromide (X) employing the N-bromosuccinimide/triphenylphosphine reagent.

合成路线图解说明:

Alkylation of 2-hydroxypyridine (XI) with bromide (X) produced a mixture of the N-alkylated pyridone (XII) and the pyridyl ether (XIII), which were separated by column chromatography. The required minor regioisomer (XIII) was desilylated with tetrabutylammonium fluoride, and the resultant alcohol (XIV) was oxidized under Swern conditions to the ketone (XV). Acidic hydrolysis of the cyclic aminal function of (XV) furnished amino alcohol (XVI). This was then coupled with the pyrimidinylacetic acid (XVII) to yield amide (XVIII). The free hydroxyl group of (XVIII) was subsequently esterified with acetic anhydride giving ester (XIX).

合成路线图解说明:

Acidic Boc group cleavage from (XIX) produced amine (XX). This was converted to formamide (XXI) upon treatment with in situ-generated formic acetic anhydride. Selective hydrolysis of the acetate ester of (XXI) was then achieved by treatment with K2CO3 in MeOH. The resultant keto alcohol (XXII) was finally oxidized to the title diketone employing DMSO in the presence of EDC and pyridinium trifluoroacetate

Drug Information Express,Drug R&D,Chemical Database,Patent Search.
Copyright © 2006-2026 Drug Future. All rights reserved.Contact Us