【药物名称】Anatibant mesilate, LF-16-0687MS, LF-16-0687(free base)
化学结构式(Chemical Structure):
参考文献No.36844
标题:Novel N-benzenesulphonyl-L-proline derivs., method for preparing and therapeutic use
作者:Dodey, P.; Bondoux, M.; Ou, K.; Barth, M.; Houziaux, P. (Fournier Industrie et Sant?
来源:EP 0944618; US 6063791; WO 9824783
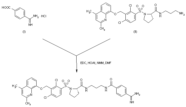
合成路线图解说明:

The title compound has been synthesized by condensation of amidino benzoic acid (I) with primary amine (II) using EDC and HOAt.

合成路线图解说明:

In an alternative procedure, amine (II) was condensed with 4-cyanobenzoic acid (III) to give amide (IV). Subsequent addition of hydroxylamine to the cyano group of (IV) afforded N-hydroxy amidine (V), which was acetylated with Ac2O to produce (VI). This compound was finally reduced to the target amidine by hydrogenation over Lindlar catalyst.

Drug Information Express,Drug R&D,Chemical Database,Patent Search.
Copyright © 2006-2026 Drug Future. All rights reserved.Contact Us