【药物名称】Capimorelin, Capromorelin, CP-424391-18(tartrate), CP-424391
化学结构式(Chemical Structure):
参考文献No.33810
标题:Growth-hormone secretagogues
作者:Carpino, P.A.; Jardine, D.P.A.; Lefker, B.A.; Ragan, J.A. (Pfizer Inc.)
来源:EP 0869968; JP 1999501945; WO 9724369
合成路线图解说明:

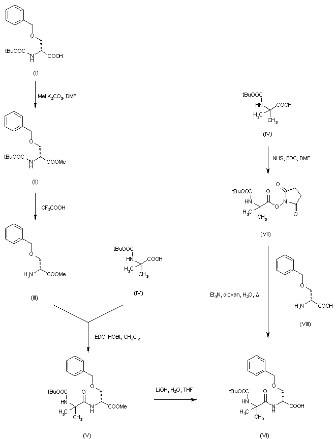
The intermediate dipeptide (VI) was prepared by two similar ways. Treatment of N-Boc-O-benzyl-D-serine (I) with MeI and K2CO3 produced the methyl ester (II). Subsequent deprotection of the Boc group of (II) with trifluoroacetic acid gave aminoester (III), which was coupled with N-Boc-alpha-methylalanine (IV) using EDC and HOBt yielding (V). Hydrolysis of the resulting dipeptide ester (V) then provided intermediate (VI). In an alternative procedure, N-Boc-alpha-methyl alanine (IV) was activated as the N-hydroxysuccinimidyl ester (VII), which was condensed with O-benzyl-D-serine (VIII) to produce dipeptide (VI).

合成路线图解说明:

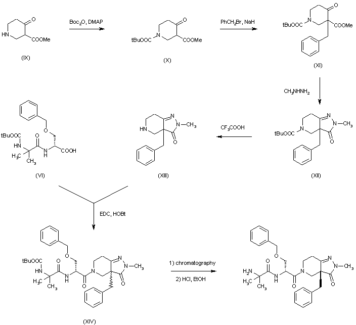
Methyl 4-oxopiperidine-3-carboxylate (IX) was protected as the tert-butyl carbamate (X) with Boc2O. This was alkylated with benzyl bromide in the presence of NaH to provide the racemic benzyl derivative (XI). Subsequent cyclization of (XI) with methylhydrazine produced the pyrazolopyridine (XII), which was deprotected with trifluoroacetic acid. The resulting amine (XIII) was then coupled with dipeptide (VI) using EDC and HOBt to afford the diastereomeric amides (XIV). After chromatographic isolation of the (R,R)-diastereoisomer, acid deprotection of the Boc group furnished the title compound.

参考文献No.479522
标题:Design, synthesis and biological evaluation of a novel series of pyrazolidone-piperidine growth hormone secretagogues
作者:Carpino, P.A.; Lefker, B.A.; Toler, S.M.; et al.
来源:216th ACS Natl Meet (Aug. 23-27, Boston) 1998,Abst MEDI 276
合成路线图解说明:

The intermediate dipeptide (VI) was prepared by two similar ways. Treatment of N-Boc-O-benzyl-D-serine (I) with MeI and K2CO3 produced the methyl ester (II). Subsequent deprotection of the Boc group of (II) with trifluoroacetic acid gave aminoester (III), which was coupled with N-Boc-alpha-methylalanine (IV) using EDC and HOBt yielding (V). Hydrolysis of the resulting dipeptide ester (V) then provided intermediate (VI). In an alternative procedure, N-Boc-alpha-methyl alanine (IV) was activated as the N-hydroxysuccinimidyl ester (VII), which was condensed with O-benzyl-D-serine (VIII) to produce dipeptide (VI).

合成路线图解说明:

Methyl 4-oxopiperidine-3-carboxylate (IX) was protected as the tert-butyl carbamate (X) with Boc2O. This was alkylated with benzyl bromide in the presence of NaH to provide the racemic benzyl derivative (XI). Subsequent cyclization of (XI) with methylhydrazine produced the pyrazolopyridine (XII), which was deprotected with trifluoroacetic acid. The resulting amine (XIII) was then coupled with dipeptide (VI) using EDC and HOBt to afford the diastereomeric amides (XIV). After chromatographic isolation of the (R,R)-diastereoisomer, acid deprotection of the Boc group furnished the title compound.

Drug Information Express,Drug R&D,Chemical Database,Patent Search.
Copyright © 2006-2026 Drug Future. All rights reserved.Contact Us