【药物名称】GW-9820
化学结构式(Chemical Structure):
参考文献No.37965
标题:Use of agonists of the peroxisome proliferator activated receptor alpha for treating obesity
作者:Willson, T.M. (Glaxo Group Ltd.)
来源:WO 9736579
合成路线图解说明:

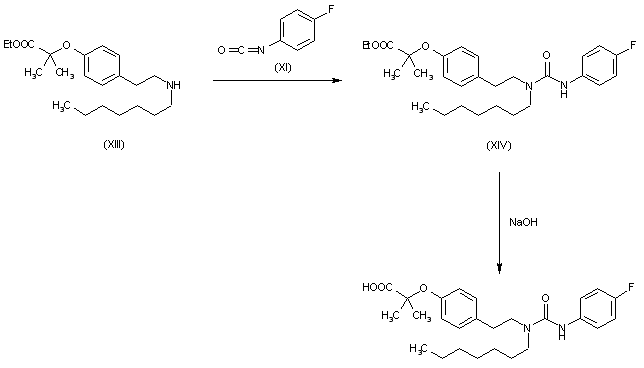
The condensation of ethyl 2-[4-[2-(heptylamino)ethyl]phenoxy]-2-methylpropionate (XIII) with 4-fluorophenyl isocyanate (XI) gives the corresponding ureido compound (XIV), which is then hydrolyzed with NaOH in refluxing ethanol.

参考文献No.479614
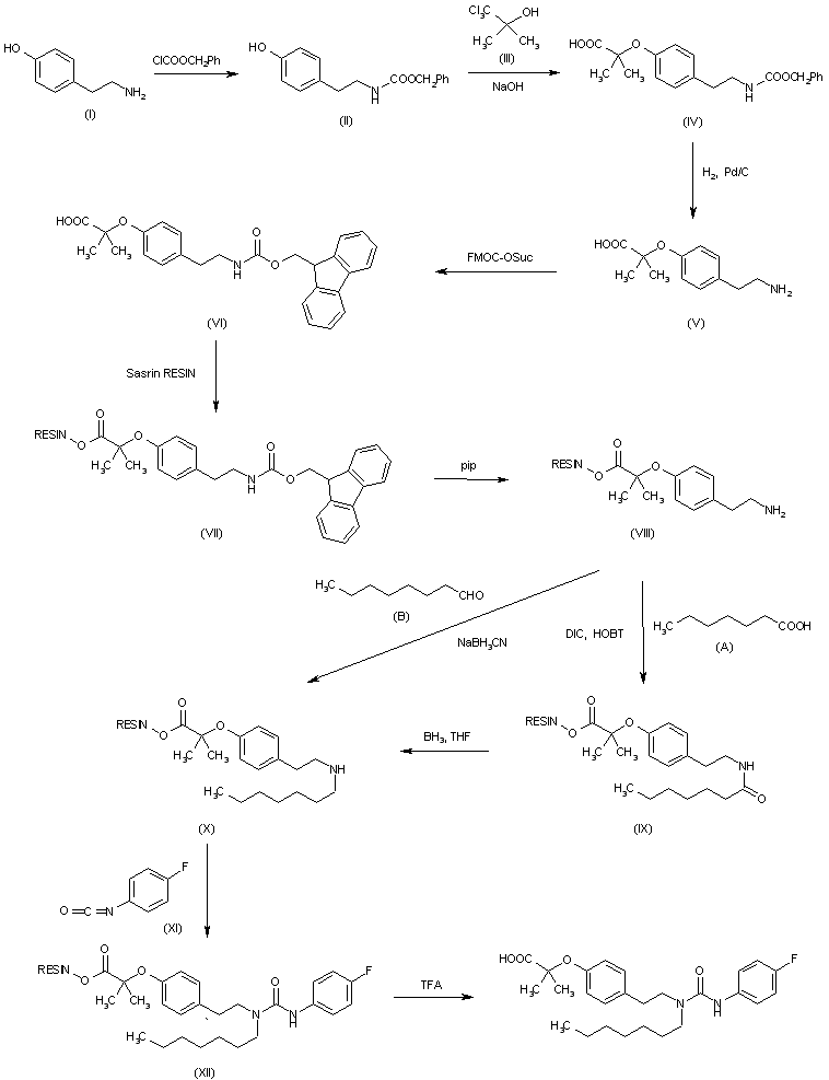
标题:Generation of secondary alkyl amines on solid support by borane reduction. Application to the parallel synthesis of PPAR ligands
作者:Brown, P.J.; et al.
来源:Synthesis 1997,(7),778
合成路线图解说明:

The N-protection of 4-(2-aminoethyl)phenol (I) with benzyl chloroformate gives the N-benzyloxycarbonyl derivative (II), which is condensed with 1-methyl-1-(trichloromethyl)ethanol (III) by means of NaOH in acetone yielding the phenoxyisobutyric acid (IV). The deprotection of the amino group of (IV) by hydrogenation over Pd/C affords the ethylamino derivative (V), which is reprotected with 9-fluorenylmethoxycarbonyl protecting group to provide carbamate (VI). The acid group of (VI) is then coupled to a Sasrin polystyrene resin giving the N-protected resin (VII), which is deprotected with piperidine affording resin (VIII) with a free amino group, which is condensed with heptanoic acid (A) by means of DIC and HOBT to give the amide (IX). The reduction of the carbonyl group amide (IX) with BH3/THF yields the heptylamine (X), which is condensed with 4-fluorophenyl isocyanate (XI) to afford the urea (XII). Finally, this compound is treated with trifluoroacetic acid to eliminate the polystyrene resin and isolate the target compound. Alternatively, the heptylamine (X) can also be obtained directly by reductocondensation of the free amino group of the resin (VIII) with heptanal (B) by means of NaBH3CN.

合成路线图解说明:

The condensation of ethyl 2-[4-[2-(heptylamino)ethyl]phenoxy]-2-methylpropionate (XIII) with 4-fluorophenyl isocyanate (XI) gives the corresponding ureido compound (XIV), which is then hydrolyzed with NaOH in refluxing ethanol.

Drug Information Express,Drug R&D,Chemical Database,Patent Search.
Copyright © 2006-2026 Drug Future. All rights reserved.Contact Us