【药物名称】
化学结构式(Chemical Structure):
参考文献No.36816
标题:Hetero-biaryl-pyridoquinazolinone derivs. as anti-cancer agents
作者:Trova, M.P.; Zhang, N. (American Cyanamid Co.)
来源:EP 0944628; WO 9823617
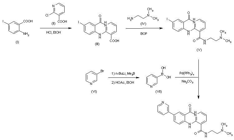
合成路线图解说明:

Condensation of 2-amino-4-iodobenzoic acid (I) with 2-chloronicotinic acid (II) in refluxing EtOH in the presence of HCl yields pyridoquinazoline acid derivative (III), which is then condensed with N,N-dimethylethylenediamine (IV) in CH2Cl2 using BOP as coupling reagent to provide (V). Reaction of 2-bromopyridine (VI) in Et2O with n-BuLi and trimethylborate, followed by treatment with EtOH and HOAc, gives 3-pyridinyl boronic acid (VII), which is finally coupled to (V) in an Na2CO3 solution via a Suzuki coupling catalyzed by Pd(PPh3)4.

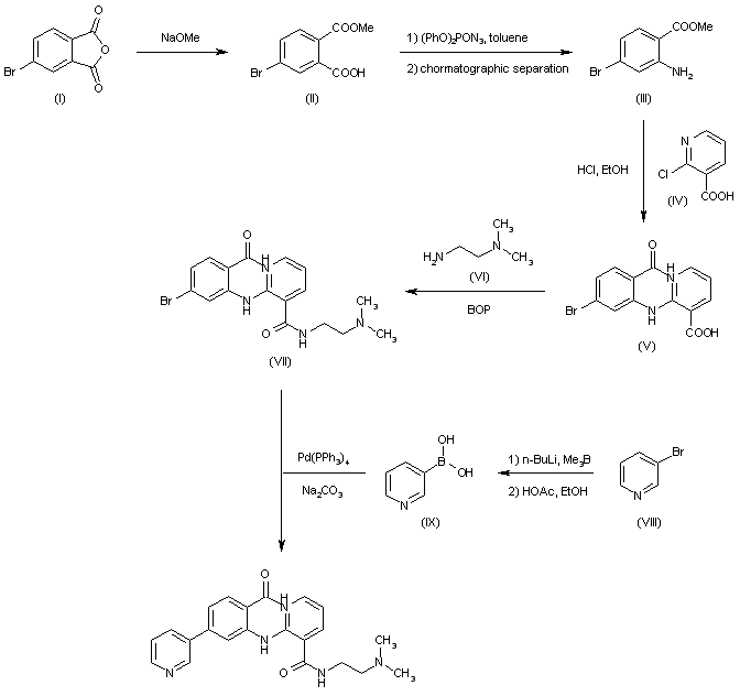
合成路线图解说明:

Treatment of 4-bromophthalic anhydride (I) in MeOH with NaOMe affords methyl ester (II), which is then treated with diphenylphosphoryl azide ((PhO)2PON3) in toluene, acetone/H2O to yield a mixture of regioisomers from which derivative (III) is obtained by chromatographic separation. Condensation of (III) with 2-chloronicotinic acid (IV) in refluxing EtOH in the presence of HCl yields pyridoquinazoline acid derivative (V), which is then condensed with N,N-dimethylethylenediamine (VI) in CH2Cl2 using BOP as coupling reagent to provide (VII). Reaction of 2-bromopyridine (VIII) in Et2O with n-BuLi and trimethylborate, followed by treatment with EtOH and HOAc, gives 3-pyridinyl boronic acid (IX), which is finally coupled to (VII) in an Na2CO3 solution via a Suzuki coupling catalyzed by Pd(PPh3)4.

参考文献No.39426
标题:Hetero-biaryl-pyridoquinazolinone derivs. as anti-cancer agents
作者:Trova, M.P.; Zhang, N. (American Cyanamid Co.)
来源:US 5908840
合成路线图解说明:

Condensation of 2-amino-4-iodobenzoic acid (I) with 2-chloronicotinic acid (II) in refluxing EtOH in the presence of HCl yields pyridoquinazoline acid derivative (III), which is then condensed with N,N-dimethylethylenediamine (IV) in CH2Cl2 using BOP as coupling reagent to provide (V). Reaction of 2-bromopyridine (VI) in Et2O with n-BuLi and trimethylborate, followed by treatment with EtOH and HOAc, gives 3-pyridinyl boronic acid (VII), which is finally coupled to (V) in an Na2CO3 solution via a Suzuki coupling catalyzed by Pd(PPh3)4.

合成路线图解说明:

Treatment of 4-bromophthalic anhydride (I) in MeOH with NaOMe affords methyl ester (II), which is then treated with diphenylphosphoryl azide ((PhO)2PON3) in toluene, acetone/H2O to yield a mixture of regioisomers from which derivative (III) is obtained by chromatographic separation. Condensation of (III) with 2-chloronicotinic acid (IV) in refluxing EtOH in the presence of HCl yields pyridoquinazoline acid derivative (V), which is then condensed with N,N-dimethylethylenediamine (VI) in CH2Cl2 using BOP as coupling reagent to provide (VII). Reaction of 2-bromopyridine (VIII) in Et2O with n-BuLi and trimethylborate, followed by treatment with EtOH and HOAc, gives 3-pyridinyl boronic acid (IX), which is finally coupled to (VII) in an Na2CO3 solution via a Suzuki coupling catalyzed by Pd(PPh3)4.

参考文献No.572988
标题:Hetero biarylpyridoquinazolinone derivatives as anticancer agents
作者:Kitchen, D.B.; Schow, S.R.; Casscles, W.T. Jr.; Discafani, C.; Trova, M.P.; Lassota, P.; Zhang, N.; Powell, D.W.
来源:219th ACS Natl Meet (March 26 2000, San Francisco) 2000,Abst MEDI 59
合成路线图解说明:

Condensation of 2-amino-4-iodobenzoic acid (I) with 2-chloronicotinic acid (II) in refluxing EtOH in the presence of HCl yields pyridoquinazoline acid derivative (III), which is then condensed with N,N-dimethylethylenediamine (IV) in CH2Cl2 using BOP as coupling reagent to provide (V). Reaction of 2-bromopyridine (VI) in Et2O with n-BuLi and trimethylborate, followed by treatment with EtOH and HOAc, gives 3-pyridinyl boronic acid (VII), which is finally coupled to (V) in an Na2CO3 solution via a Suzuki coupling catalyzed by Pd(PPh3)4.

合成路线图解说明:

Treatment of 4-bromophthalic anhydride (I) in MeOH with NaOMe affords methyl ester (II), which is then treated with diphenylphosphoryl azide ((PhO)2PON3) in toluene, acetone/H2O to yield a mixture of regioisomers from which derivative (III) is obtained by chromatographic separation. Condensation of (III) with 2-chloronicotinic acid (IV) in refluxing EtOH in the presence of HCl yields pyridoquinazoline acid derivative (V), which is then condensed with N,N-dimethylethylenediamine (VI) in CH2Cl2 using BOP as coupling reagent to provide (VII). Reaction of 2-bromopyridine (VIII) in Et2O with n-BuLi and trimethylborate, followed by treatment with EtOH and HOAc, gives 3-pyridinyl boronic acid (IX), which is finally coupled to (VII) in an Na2CO3 solution via a Suzuki coupling catalyzed by Pd(PPh3)4.

Drug Information Express,Drug R&D,Chemical Database,Patent Search.
Copyright © 2006-2026 Drug Future. All rights reserved.Contact Us