【药物名称】CRA-0165
化学结构式(Chemical Structure):
参考文献No.37502
标题:4-Tetrahydropyridylpyrimidine derivs.
作者:Okubo, T.; Okuyama, S.; Nakazato, A.; Tomisawa, K.; Aibe, I.; Chaki, S.; Kumagai, T.; Tanaka, H. (Taisho Pharmaceutical Co., Ltd.)
来源:EP 0976745; JP 1999228568; WO 9842699
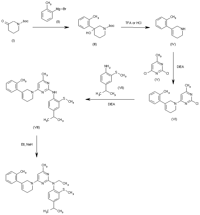
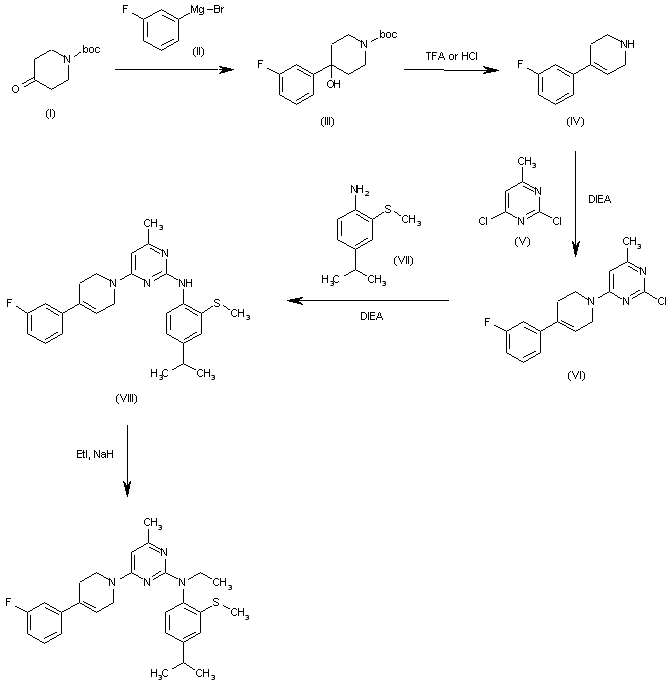
合成路线图解说明:

The Grignard reaction of 1-(tert-butoxycarbonyl)piperidin-4-one (I) with 3-fluorophenylmagnesium bromide (II) in THF gives the tertiary alcohol (III), which is dehydrated with TFA or HCl in dioxane yielding the tetrahydropyridine (IV). The condensation of (IV) with 2,4-dichloro-6-methylpyrimidine (V) by means of DIEA in ethanol affords 2-chloro-4-[4-(3-fluorophenyl)-1,2,3,6-tetrahydropyridin-1-yl]-6-methylpyrimidine (VI), which is further condensed with 4-isopropyl-2-(methylsulfanyl)aniline (VII) by means of DIEA in refluxing ethylene glycol to give the secondary amine (VIII). Finally, this compound is alkylated with ethyl iodide and NaH in DMF.

合成路线图解说明:

The Grignard reaction of 1-(tert-butoxycarbonyl)piperidin-3-one (I) with 2-methylphenylmagnesium bromide (II) in THF gives the tertiary alcohol (III), which is dehydrated with TFA or HCl in dioxane yielding the tetrahydropyridine (IV). The condensation of (IV) with 2,4-dichloro-6-methylpyrimidine (V) by means of DIEA in ethanol affords 2-chloro-6-methyl-4-[3-(2-methylphenyl)-1,2,3,6-tetrahydropyridin-1-yl]pyrimidine (VI), which is further condensed with 4-isopropyl-2-(methylsulfanyl)aniline (VII) by means of DIEA in refluxing ethylene glycol to give the secondary amine (VIII). Finally, this compound is alkylated with ethyl iodide and NaH in DMF.

参考文献No.476237
标题:CRF1 receptor antagonists: Aryl-1,2,3,6-tetrahydropyridinopyrimidine derivatives
作者:Chaki, S.; Nakazato, A.; Okubo, T.; Kumagai, T.; Tomisawa, K.; Okuyama, S.
来源:Symp Med Chem 1998,Abst 1-P-26
合成路线图解说明:

The Grignard reaction of 1-(tert-butoxycarbonyl)piperidin-4-one (I) with 3-fluorophenylmagnesium bromide (II) in THF gives the tertiary alcohol (III), which is dehydrated with TFA or HCl in dioxane yielding the tetrahydropyridine (IV). The condensation of (IV) with 2,4-dichloro-6-methylpyrimidine (V) by means of DIEA in ethanol affords 2-chloro-4-[4-(3-fluorophenyl)-1,2,3,6-tetrahydropyridin-1-yl]-6-methylpyrimidine (VI), which is further condensed with 4-isopropyl-2-(methylsulfanyl)aniline (VII) by means of DIEA in refluxing ethylene glycol to give the secondary amine (VIII). Finally, this compound is alkylated with ethyl iodide and NaH in DMF.

合成路线图解说明:

The Grignard reaction of 1-(tert-butoxycarbonyl)piperidin-3-one (I) with 2-methylphenylmagnesium bromide (II) in THF gives the tertiary alcohol (III), which is dehydrated with TFA or HCl in dioxane yielding the tetrahydropyridine (IV). The condensation of (IV) with 2,4-dichloro-6-methylpyrimidine (V) by means of DIEA in ethanol affords 2-chloro-6-methyl-4-[3-(2-methylphenyl)-1,2,3,6-tetrahydropyridin-1-yl]pyrimidine (VI), which is further condensed with 4-isopropyl-2-(methylsulfanyl)aniline (VII) by means of DIEA in refluxing ethylene glycol to give the secondary amine (VIII). Finally, this compound is alkylated with ethyl iodide and NaH in DMF.

Drug Information Express,Drug R&D,Chemical Database,Patent Search.
Copyright © 2006-2026 Drug Future. All rights reserved.Contact Us