【药物名称】COBRA-0, WHI-261, DDE-261
化学结构式(Chemical Structure):
参考文献No.41690
标题:Tubulin binding cpds. (COBRA)
作者:Mao, C.; Uckun, F.M.; Jan, S.-T.M. (Parker Hughes Institute)
来源:WO 0000483
合成路线图解说明:

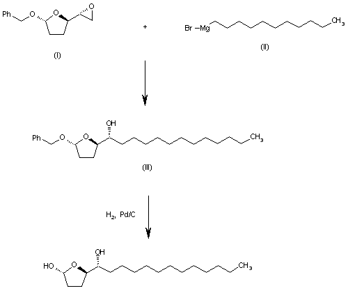
The Grignard reaction of undecylmagnesium bromide (II) with epoxide (I) in ethyl ether gives benzyloxytetrahydrofuryl-dodecanol (III), which is finally debenzylated with H2 over Pd/C in ethyl acetate.

Drug Information Express,Drug R&D,Chemical Database,Patent Search.
Copyright © 2006-2026 Drug Future. All rights reserved.Contact Us