【药物名称】DW-2282
化学结构式(Chemical Structure):
参考文献No.35972
标题:Arylsulfonylimidazolone derivs. as an antitumor agent
作者:Yoon, S.J.; Chung, Y.H.; Lee, M.S.; Choi, D.R.; Lee, J.A.; Lee, H.S.; Yun, H.R.; Lee, D.K.; Moon, E.Y.; Hwang, H.S.; Choi, C.H.; Jung, S.H. (Dong-Wha Pharmaceuticals Industry Co. Ltd)
来源:EP 1021437; JP 2000505096; US 5929103; WO 9807719
合成路线图解说明:

The bromination of styrene (II) with N-bromosuccinimide in the presence of cyanamide (I) provided 2-bromo-1-phenylethylcyanamide (III). Further addition of MeOH to (III) in the presence of HCl, followed by Na2CO3-promoted cyclization, produced the methoxyimidazoline (IV). Acylation of indoline (V) with trifluoroacetic anhydride and pyridine gave amide (VI) and subsequent chlorosulfonation yielded sulfonyl cloride (VII). This acid chloride was coupled to imidazoline (IV) in the presence of NaHCO3 in aqueous acetone to furnish a mixture of sulfonyl imidazolines (VIII) and (IX). The major isomer (IX) was isolated by column chromatography, and then, hydrolysis with HCl in MeOH at r.t. provided imidazolidinone (X). The trifluoroacetamide group of (X) was further hydrolyzed by treatment with NaOH in aqueous MeOH to give (XI). Subsequent condensation of (XI) with 4-nitrobenzoyl chloride (XII) in the presence of pyridine yielded 4-nitrobenzamide (XIII), which was finally reduced to the aminobenzamide by hydrogenation using Raney-nickel as the catalyst.

合成路线图解说明:

A synthesis of the (S)-enantiomer of the target compound has also been reported, starting from (S)-1-phenylethanolamine (XIV). Treatment with phenyl chloroformate (XV) and NaHCO3 yielded carbamate (XVI). Subsequent reaction of (XVI) with methanesulfonyl chloride and Et3N provided mesylate (XVII). The sulfonamide (XVIII) was prepared from sulfonyl chloride (VII) by treatment with ammonia gas in CH2Cl2. Condensation of this sulfonamide with mesylate (XVII) in the presence of NaH produced the chiral imidazolidinone (XIX). Finally, the target compound was obtained by condensation with 4-nitrobenzoyl chloride (XII), followed by reduction with H2 in the presence of Raney-Ni.

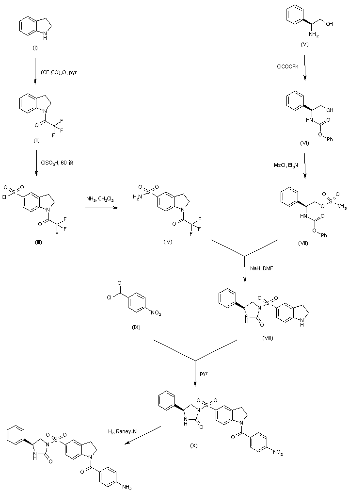
合成路线图解说明:

Protection of indoline (I) using trifluoroacetic anhydride provided N-trifluoroacetylindoline (II), which was sulfonated with chlorosulfonic acid to give sulfonyl chloride (III). Further treatment with ammonia in CH2Cl2 produced sulfonamide (IV). Phenylglycinol (V) was condensed with phenyl chloroformate to afford carbamate (VI). Subsequent reaction of (VI) with metanesulfonyl chloride and triethylamine yielded mesylate (VII). The condensation of sulfonamide (IV) with mesylate (VII), with concomitant cyclization of carbamate group and trifluoroacetyl deprotection, furnished imidazolone (VIII). This was further condensed with 4-nitrobenzoyl chloride (IX), and the resulting 4-nitrobenzamide (X) was finally reduced to the target aminobenzamide by hydrogenation over Raney Nickel.

Drug Information Express,Drug R&D,Chemical Database,Patent Search.
Copyright © 2006-2026 Drug Future. All rights reserved.Contact Us