【药物名称】Janex-1, HI-P131, DDE-9501, WHI-P131
化学结构式(Chemical Structure):
参考文献No.41331
标题:Quinazolines for treating brain tumor
作者:Liu, X.-P.; Narla, R.K.; Uckun, F.M. (Parker Hughes Institute)
来源:WO 9961428
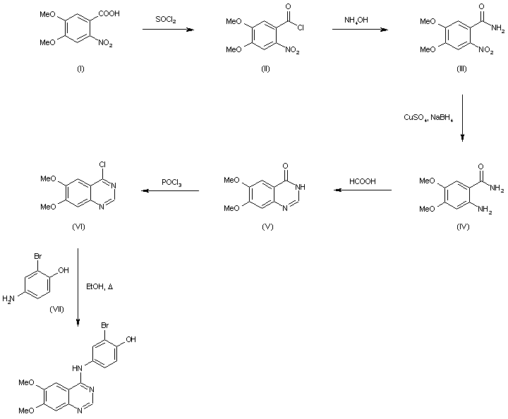
合成路线图解说明:

4,5-Dimethoxy-2-nitrobenzoic acid (I) was treated with thionyl chloride to form acid chloride (II), followed by reaction with ammonia to yield 4,5-dimethoxy-2-nitrobenzamide (III). This was reduced with sodium borohydride in the presence of copper sulfate to give aminobenzamide (IV), which was refluxed with formic acid to afford 6,7-dimethoxyquinazoline-4(3H)-one (V). Subsequent treatment of (V) with phosphoryl chloride gave the chloroquinazoline (VI). The title compound was then prepared by condensation of (VI) with 2-bromo-4-aminophenol (VII) in refluxing ethanol.

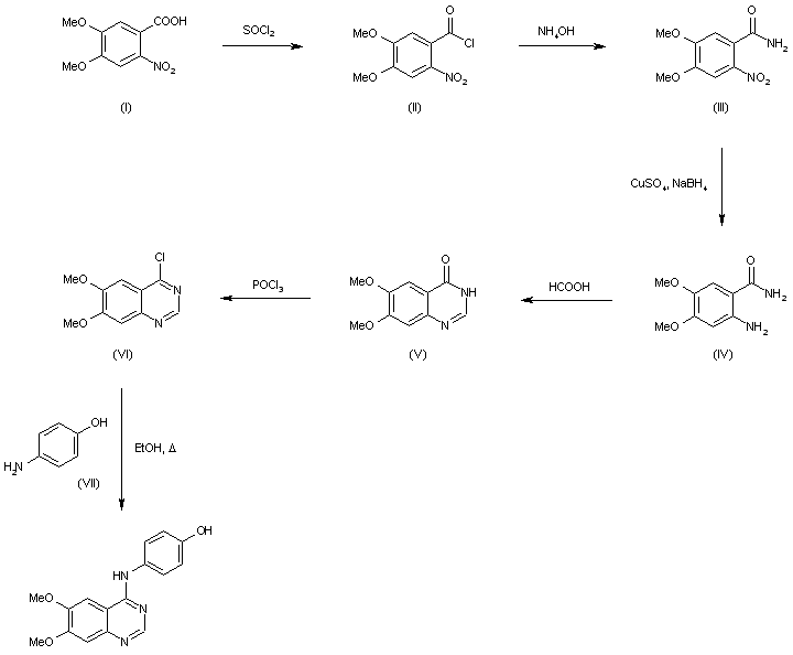
合成路线图解说明:

4,5-Dimethoxy-2-nitrobenzoic acid (I) was treated with thionyl chloride to form acid chloride (II), followed by reaction with ammonia to yield 4,5-dimethoxy-2-nitrobenzamide (III). This was reduced with sodium borohydride in the presence of copper sulfate to give aminobenzamide (IV), which was refluxed with formic acid to afford 6,7-dimethoxyquinazoline-4(3H)-one (V). Subsequent treatment of (V) with phosphoryl chloride gave the chloroquinazoline (VI). The title compound was then prepared by condensation of (VI) with 4-aminophenol (VII) in refluxing ethanol.

Drug Information Express,Drug R&D,Chemical Database,Patent Search.
Copyright © 2006-2026 Drug Future. All rights reserved.Contact Us