【药物名称】JS-2-13-P2, (S)-2-Me-EM-138, 2-Me-PGA, M-PGA
化学结构式(Chemical Structure):
参考文献No.546066
标题:Synthesis and enantiomeric separation of 2-phthalimidino-glutaric acid analogues: Potent inhibitors of tumor metastasis
作者:Shah, J.H.; Swartz, G.M.; Papathanassiu, A.E.; Treston, A.M.; Fogler, W.E.; Madsen, J.W.; Green, S.J.
来源:J Med Chem 1999,42(16),3014
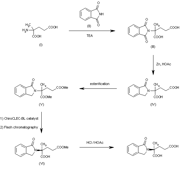
合成路线图解说明:

The condensation of 2-amino-2-methylglutaric acid (I) with phthalimide (II) by means of TEA in refluxing toluene gives 2-methyl-2-phthalimidoglutaric acid (II), which is partially reduced with Zn and acetic acid yielding the racemic indolinone derivative (IV). The esterification of (IV) affords the dimethyl ester (V), which is enantioselectively monohydrolyzed by means of ChiroCLEC-BL catalyst affording a mixture of the (S)-monoester (VI) and unchanged (R)-diester (R)-(V), which is separated by flash chromatography. Finally, the chiral monoester (VI) is hydrolyzed with HCl/AcOH.

Drug Information Express,Drug R&D,Chemical Database,Patent Search.
Copyright © 2006-2026 Drug Future. All rights reserved.Contact Us