【药物名称】BCX-1170
化学结构式(Chemical Structure):
参考文献No.478540
标题:Development of novel inhibitors of complement and coagulation serine proteases
作者:Niwas, S.; Moore, R.; Kilpatrick, J.M.; Babu, Y.S.; Johnson, H.; Kellogg, D.
来源:216th ACS Natl Meet (Aug. 23-27, Boston) 1998,Abst MEDI 088
合成路线图解说明:

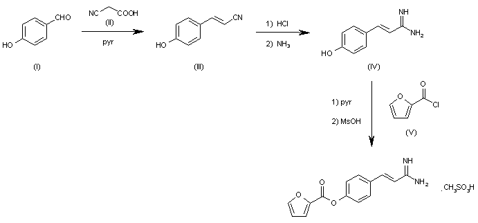
The reaction of 4-hydroxybenzaldehyde (I) with cyanacetic acid (II) by means of pyridine in toluene gives the 3-(4-hydroxyphenyl)propenenitrile (III), which by reaction first with methanolic HCl and then with methanolic ammonia is converted into the amidine (IV). Finally, this compound is condensed with 2-furylcarbonyl chloride (V) in pyridine and treated with methanesulfonic acid to afford the target sulfonate.

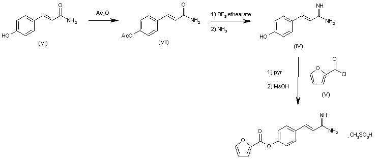
合成路线图解说明:

The acylation of (E)-3-(4-hydroxyphenyl)-2-propenamide (VI) with acetic anhydride gives the 4[(E)-3-amino-3-oxo-1-propenyl]phenyl acetate (VII), which by reaction first with BF3 ethearate and then with ammonia is converted into the amidine (IV). Finally, this compound is condensed with 2-furylcarbonyl chloride (V) in pyridine and treated with methanesulfonic acid to afford the target sulfonate.

Drug Information Express,Drug R&D,Chemical Database,Patent Search.
Copyright © 2006-2026 Drug Future. All rights reserved.Contact Us