【药物名称】WAY-140288
化学结构式(Chemical Structure):
参考文献No.35385
标题:Tricyclic benzazepine vasopressin antagonists
作者:Albright, J.D.; Venkatesan, A.M.; Dusza, J.P.; Sum, F.-W. (American Cyanamid Co.)
来源:JP 2000510154; US 5753648; WO 9749707
合成路线图解说明:

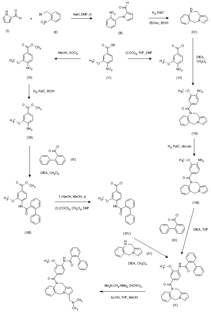
Title compound has been obtained by two synthetic procedures: 1) Pyrrole-2-carbaldehyde (I) was alkylated with 2-nitrobenzyl bromide (II) in the presence of NaH to afford the N-nitrobenzyl pyrrole (III). Then, reductive cyclization over Pd/C produced the pyrrolobenzodiazepine (IV). Subsequent condensation of (IV) with acid chloride (VI), prepared from 3-methoxy-4-nitrobenzoic acid (V) and oxalyl chloride, gave benzamide (VII). The nitro group of (VII) was then reduced by catalytic hydrogenation over Pd/C, and the resulting amine (VIII) was further acylated with biphenyl-2-carbonyl chloride (IX) in the presence of diisopropyl ethylamine (DIEA) to yield diamide (X). Finally, the Mannich reaction with tetramethyl diaminomethane and paraformaldehyde introduced the (dimethylamino)methyl group into the pyrrole nucleus. 2) In a related procedure, 3-methoxy-4-nitrobenzoic acid (V) was esterified with MeOH in the presence of SOCl2. The nitrobenzoic ester (XI) was reduced to aminoester (XII) by hydrogenation over Pd/C, and then acylated with biphenyl-2-carbonyl chloride (IX) and DIEA to produce amide (XIII). Subsequent saponification of the ester function of (XIII), followed by treatment with oxalyl chloride furnished acid chloride (XIV), which was then condensed with the tricyclic intermediate (IV) to yield diamide (X). Finally, the (dimethylamino)methyl group was introduced, as before, by means of a Mannich reaction.

合成路线图解说明:

The intermediate pyrrolobenzodiazepine (IV) was prepared by alkylation of pyrrole-2-carboxaldehyde (I) with 2-nitrobenzyl bromide (II), followed by reductive cyclization of the resulting nitro aldehyde (III).

合成路线图解说明:

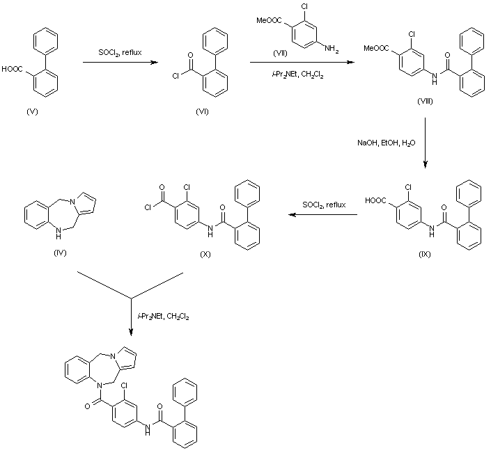
Acid chloride (VI) prepared from 2-biphenylcarboxylic acid (V) and SOCl2 was coupled with methyl 4-amino-2-chlorobenzoate (VII) to yield amide (VIII). After hydrolysis of the ester group of (VIII) with NaOH, the resulting carboxylic acid (IX) was converted to acid chloride (X) using SOCl2. Finally, condensation of (X) with the tricyclic amine (IV) in the presence of DIEA furnished the title compound.

参考文献No.35386
标题:Tricyclic benzazepine vasopressin antagonists
作者:Albright, J.D.; Venkatesan, A.M.; Dusza, J.P.; Sum, F.W. (American Cyanamid Co.)
来源:US 5700796; WO 9749708
合成路线图解说明:

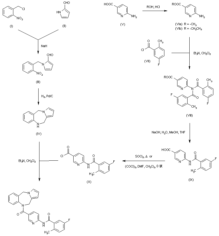
Alkylation of pyrrole-2-carboxaldehyde (II) with 2-nitrobenzyl chloride (I) in the presence of NaH afforded the N-benzyl pyrrole (III). Subsequent reductive ring closure of (III) by hydrogenation over Pd/C produced the pyrrolobenzodiazepine (IV). Acid-catalyzed esterification of 6-aminonicotinic acid (V) with either methanol or ethanol provided the corresponding esters (VIa) or (VIb). Further coupling of (VIa) or (VIb) with two equivalents of 5-fluoro-2-methylbenzoyl chloride (VII) gave rise to imide (VIII). Simultaneous hydrolysis of ester function and one benzoyl group of (VIIIa-b) with NaOH furnished acid (IX), which was then converted to the corresponding acid chloride (X) employing either thionyl chloride or oxalyl chloride. Finally, coupling of acid chloride (X) with amine (IV) in the presence of Et3N yielded the target amide.

合成路线图解说明:

Title compound has been obtained by two synthetic procedures: 1) Pyrrole-2-carbaldehyde (I) was alkylated with 2-nitrobenzyl bromide (II) in the presence of NaH to afford the N-nitrobenzyl pyrrole (III). Then, reductive cyclization over Pd/C produced the pyrrolobenzodiazepine (IV). Subsequent condensation of (IV) with acid chloride (VI), prepared from 3-methoxy-4-nitrobenzoic acid (V) and oxalyl chloride, gave benzamide (VII). The nitro group of (VII) was then reduced by catalytic hydrogenation over Pd/C, and the resulting amine (VIII) was further acylated with biphenyl-2-carbonyl chloride (IX) in the presence of diisopropyl ethylamine (DIEA) to yield diamide (X). Finally, the Mannich reaction with tetramethyl diaminomethane and paraformaldehyde introduced the (dimethylamino)methyl group into the pyrrole nucleus. 2) In a related procedure, 3-methoxy-4-nitrobenzoic acid (V) was esterified with MeOH in the presence of SOCl2. The nitrobenzoic ester (XI) was reduced to aminoester (XII) by hydrogenation over Pd/C, and then acylated with biphenyl-2-carbonyl chloride (IX) and DIEA to produce amide (XIII). Subsequent saponification of the ester function of (XIII), followed by treatment with oxalyl chloride furnished acid chloride (XIV), which was then condensed with the tricyclic intermediate (IV) to yield diamide (X). Finally, the (dimethylamino)methyl group was introduced, as before, by means of a Mannich reaction.

合成路线图解说明:

The intermediate pyrrolobenzodiazepine (IV) was prepared by alkylation of pyrrole-2-carboxaldehyde (I) with 2-nitrobenzyl bromide (II), followed by reductive cyclization of the resulting nitro aldehyde (III).

合成路线图解说明:

Acid chloride (VI) prepared from 2-biphenylcarboxylic acid (V) and SOCl2 was coupled with methyl 4-amino-2-chlorobenzoate (VII) to yield amide (VIII). After hydrolysis of the ester group of (VIII) with NaOH, the resulting carboxylic acid (IX) was converted to acid chloride (X) using SOCl2. Finally, condensation of (X) with the tricyclic amine (IV) in the presence of DIEA furnished the title compound.

参考文献No.476983
标题:The design, synthesis and physicochemical properties of a novel series of human vasopressin-V2 receptor antagonists
作者:Ashwell, M.A.; et al.
来源:216th ACS Natl Meet (Aug. 23-27, Boston) 1998,Abst MEDI 061
合成路线图解说明:

Title compound has been obtained by two synthetic procedures: 1) Pyrrole-2-carbaldehyde (I) was alkylated with 2-nitrobenzyl bromide (II) in the presence of NaH to afford the N-nitrobenzyl pyrrole (III). Then, reductive cyclization over Pd/C produced the pyrrolobenzodiazepine (IV). Subsequent condensation of (IV) with acid chloride (VI), prepared from 3-methoxy-4-nitrobenzoic acid (V) and oxalyl chloride, gave benzamide (VII). The nitro group of (VII) was then reduced by catalytic hydrogenation over Pd/C, and the resulting amine (VIII) was further acylated with biphenyl-2-carbonyl chloride (IX) in the presence of diisopropyl ethylamine (DIEA) to yield diamide (X). Finally, the Mannich reaction with tetramethyl diaminomethane and paraformaldehyde introduced the (dimethylamino)methyl group into the pyrrole nucleus. 2) In a related procedure, 3-methoxy-4-nitrobenzoic acid (V) was esterified with MeOH in the presence of SOCl2. The nitrobenzoic ester (XI) was reduced to aminoester (XII) by hydrogenation over Pd/C, and then acylated with biphenyl-2-carbonyl chloride (IX) and DIEA to produce amide (XIII). Subsequent saponification of the ester function of (XIII), followed by treatment with oxalyl chloride furnished acid chloride (XIV), which was then condensed with the tricyclic intermediate (IV) to yield diamide (X). Finally, the (dimethylamino)methyl group was introduced, as before, by means of a Mannich reaction.

参考文献No.577363
标题:The design, synthesis and physical chemical properties of novel human vasopressin V2-receptor antagonists optimized for parenteral delivery
作者:Ashwell, M.A.; Bagli, J.F.; Caggiano, T.J.; Chan, P.S.; Molinari, A.J.; Palka, C.; Park, C.H.; Rogers, J.F.; Sherman, M.; Trybulski, E.J.; Williams, D.K.
来源:Bioorg Med Chem Lett 2000,10(8),783
合成路线图解说明:

Title compound has been obtained by two synthetic procedures: 1) Pyrrole-2-carbaldehyde (I) was alkylated with 2-nitrobenzyl bromide (II) in the presence of NaH to afford the N-nitrobenzyl pyrrole (III). Then, reductive cyclization over Pd/C produced the pyrrolobenzodiazepine (IV). Subsequent condensation of (IV) with acid chloride (VI), prepared from 3-methoxy-4-nitrobenzoic acid (V) and oxalyl chloride, gave benzamide (VII). The nitro group of (VII) was then reduced by catalytic hydrogenation over Pd/C, and the resulting amine (VIII) was further acylated with biphenyl-2-carbonyl chloride (IX) in the presence of diisopropyl ethylamine (DIEA) to yield diamide (X). Finally, the Mannich reaction with tetramethyl diaminomethane and paraformaldehyde introduced the (dimethylamino)methyl group into the pyrrole nucleus. 2) In a related procedure, 3-methoxy-4-nitrobenzoic acid (V) was esterified with MeOH in the presence of SOCl2. The nitrobenzoic ester (XI) was reduced to aminoester (XII) by hydrogenation over Pd/C, and then acylated with biphenyl-2-carbonyl chloride (IX) and DIEA to produce amide (XIII). Subsequent saponification of the ester function of (XIII), followed by treatment with oxalyl chloride furnished acid chloride (XIV), which was then condensed with the tricyclic intermediate (IV) to yield diamide (X). Finally, the (dimethylamino)methyl group was introduced, as before, by means of a Mannich reaction.

Drug Information Express,Drug R&D,Chemical Database,Patent Search.
Copyright © 2006-2026 Drug Future. All rights reserved.Contact Us