【药物名称】Ro-60-0869
化学结构式(Chemical Structure):
参考文献No.37077
标题:Tricyclic benzo[e]isoindoles and benzo[h]isoquinolines
作者:Stadler, H.; B鰏, M.; Wichmann, J. (F. Hoffmann-La Roche AG)
来源:EP 0958285; JP 2000507965; WO 9830546
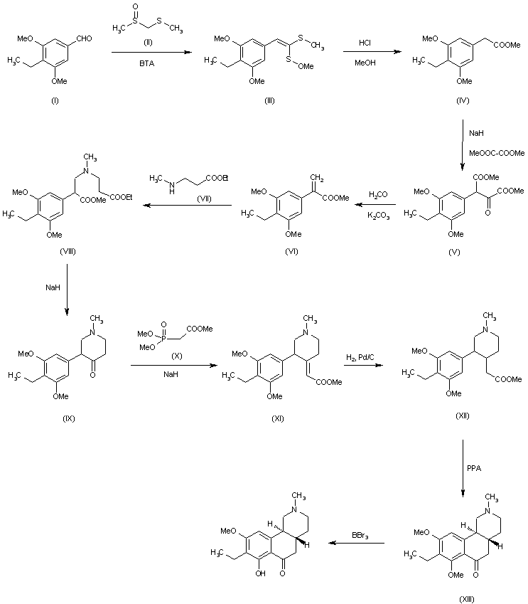
合成路线图解说明:

The reaction of benzaldehyde (I) with the sulfoxide (II) by means of benzyltrimethylammonium hydroxide in methanol gives the styrene derivative (III), which is hydrolyzed with HCl in methanol to the phenylacetate (IV). The condensation of (IV) with dimethyl oxalate by means of NaH in THF yields the succinate (V), which by reaction with formaldehyde and K2CO3 is converted into the acrylate (VI). The condensation of (VI) with ethyl 3-(methylamino)propionate gives intermediate (VII), which is cyclized by means of NaH in refluxing toluene yielding the piperidinone (IX). The condensation of (IX) with trimethyl phosphonoacetate (X) by means of NaH in THF affords the expected piperidinyleneacetate (XI), which is reduced with H2 over Pd/C in methanol giving the piperidinylacetate (XII). The cyclization of (XII) by means of polyphosphoric acid (PPA) in refluxing toluene yields the benzoisoquinoline (XIII), which is finally selectively demethylated with BBr3 in methylene chloride to the target compound.

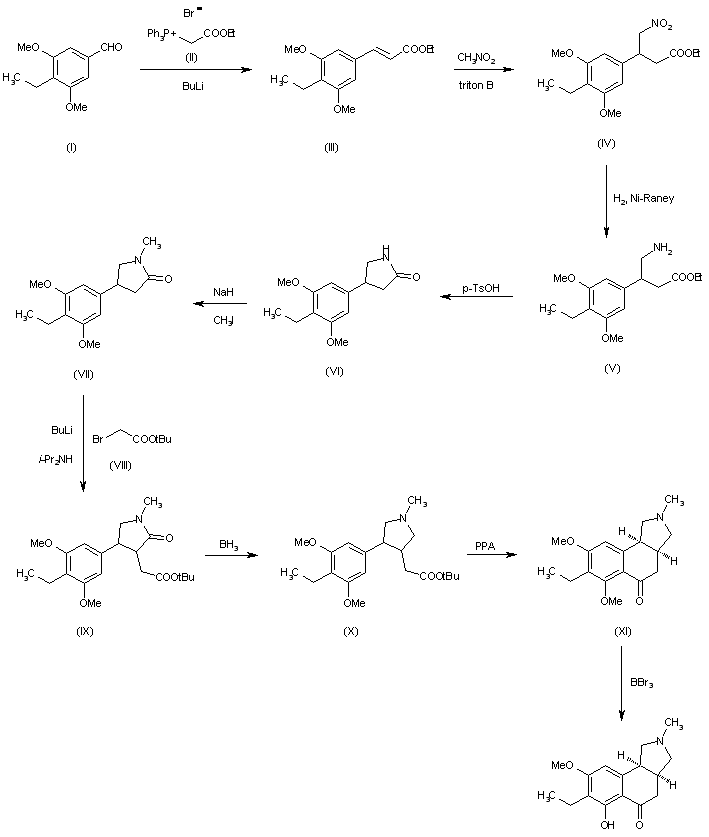
合成路线图解说明:

The reaction of 4-ethyl-3,5-dimethoxybenzaldehyde (I) with (ethoxycarbonylmethyl)triphenylphosphonium bromide (II) by means o butyllithium in THF gives the acrylate (III), which is allowed to react with nitromethane/triton B in hot methanol yielding the 4-nitrobutyrate (IV). The reduction of (IV) with H2 over RaNi in ethanol affords the 4-aminobutyrate (V), which is cyclized to the pyrrolidinone (VI) by means of p-toluenesulfonic acid in refluxing ethanol. The methylation of (VI) with NaH/methyl iodide in THF gives the corresponding N-methylpyrrolidinone (VII), which is condensed with tert-butyl bromoacetate (VIII) by means of butyllithium/diisopropylamine in THF yielding the intermediate (IX). The reduction of the ketonic grupof (IX) with the complex borane/THF in THF affords the pyrrolidineacetate ester (X), which is cyclized by means of polyphosphoric acid (PPA) at 120 C giving the benzisoindole (XI). Finally, this compound is selectively demethylate by menas of BBr3 in dichloromethane.

Drug Information Express,Drug R&D,Chemical Database,Patent Search.
Copyright © 2006-2026 Drug Future. All rights reserved.Contact Us