【药物名称】CX-659S
化学结构式(Chemical Structure):
参考文献No.36700
标题:Hydroquinone derivs. and their medicinal use
作者:Isobe, Y.; Goto, Y.; Tobe, M.; Takahashi, O. (Japan Energy Corp.)
来源:JP 1998147575; US 5821247
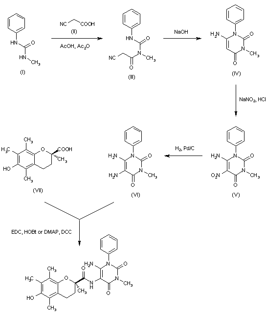
合成路线图解说明:

Acylation of urea derivative (I) with cyanoacetic acid (II) in HOAc in the presence of Ac2O yields derivative (III), which is then cyclized by treatment with NaOH to provide (IV). Nitrosation of (IV) with NaNO2 and HCl affords nitroso derivative (V), which is then hydrogenated over Pd/C in EtOH to furnish substituted pyrimidinedione (VI). Finally, (VI) is coupled to Trolox (VII) with N-ethyl-N'-[3-(dimethylamino)propyl]carbodiimide hydrochloride (EDC稨Cl) and 1-hydroxybenzotriazole (HOBt) in DMF or with 4-(dimethylamino)pyridine (DMAP) and N-dicyclohexylcarbodiimide (DCC) in CH2Cl2 to yield the target compound.

参考文献No.590754
标题:Synthesis and biological evaluation of CX-659S and its related compounds for their inhibitory effects on the delayed-type hypersensitivity reaction
作者:Tobe, M.; Isobe, Y.; Goto, Y.; Obara, F.; Tsuchiya, M.; Matsui, J.; Hirota, K.; Hayashi, H.
来源:Bioorg Med Chem 2000,8(8),2037
合成路线图解说明:

Acylation of urea derivative (I) with cyanoacetic acid (II) in HOAc in the presence of Ac2O yields derivative (III), which is then cyclized by treatment with NaOH to provide (IV). Nitrosation of (IV) with NaNO2 and HCl affords nitroso derivative (V), which is then hydrogenated over Pd/C in EtOH to furnish substituted pyrimidinedione (VI). Finally, (VI) is coupled to Trolox (VII) with N-ethyl-N'-[3-(dimethylamino)propyl]carbodiimide hydrochloride (EDC稨Cl) and 1-hydroxybenzotriazole (HOBt) in DMF or with 4-(dimethylamino)pyridine (DMAP) and N-dicyclohexylcarbodiimide (DCC) in CH2Cl2 to yield the target compound.

Drug Information Express,Drug R&D,Chemical Database,Patent Search.
Copyright © 2006-2026 Drug Future. All rights reserved.Contact Us