【药物名称】CP-467688
化学结构式(Chemical Structure):
参考文献No.36800
标题:Apo B-secretion/MTP inhibitory amides
作者:Chang, G.; Quallich, G.J. (Pfizer Inc.)
来源:EP 0944602; JP 2000505810; WO 9823593
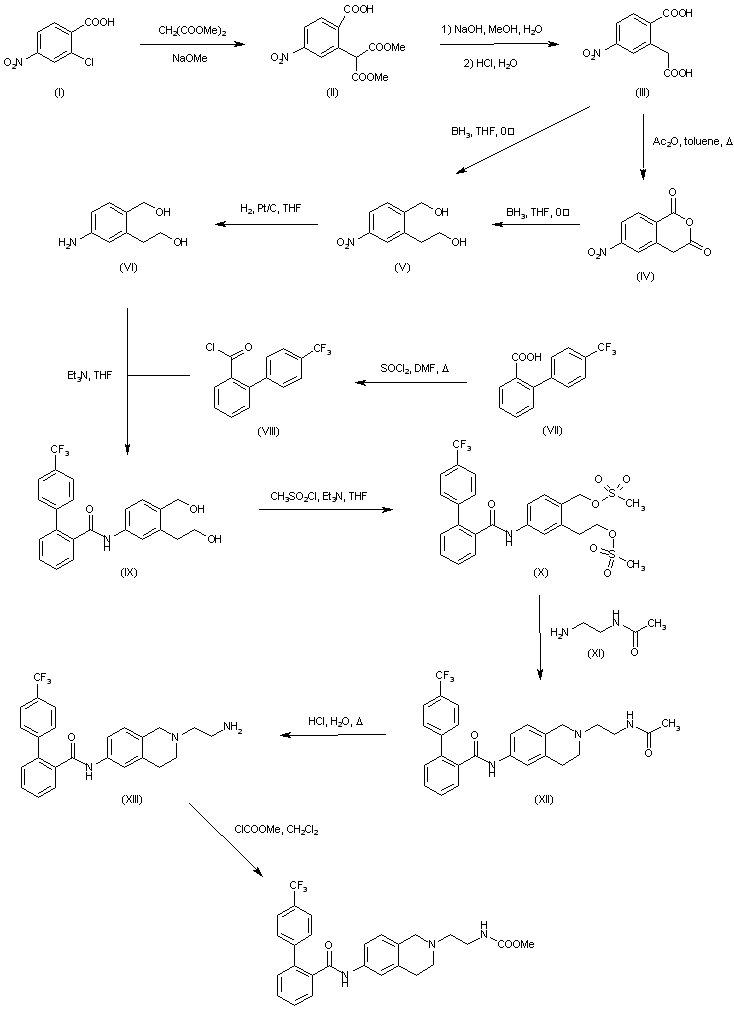
合成路线图解说明:

Condensation of 2-chloro-4-nitrobenzoic acid (I) with dimethyl malonate produced the arylmalonate (II). This was subjected to hydrolysis and subsequent decarboxylation to afford diacid (III). Conversion of (III) to the cyclic anhydride (IV) upon refluxing with Ac2O, and then reduction with borane in THF gave rise to diol (V). Optionally, diol (V) was obtained by direct reduction of diacid (III) with borane. Nitro diol (V) was reduced to amine (VI) by hydrogenation over Pt/C. This was condensed with acid chloride (VIII) (prepared from carboxylic acid (VII) and SOCl2) to afford amide (IX). After conversion to dimesylate (X), cyclization with N-acetyl ethylenediamine (XI) furnished the tetrahydroisoquinoline (XII). Acidic hydrolysis of the acetamido group of (XIV) gave primary amine (XIII) which was finally treated with methyl chloroformate to furnish the title carbamate.

Drug Information Express,Drug R&D,Chemical Database,Patent Search.
Copyright © 2006-2026 Drug Future. All rights reserved.Contact Us