【药物名称】CI-1030, PD-172760
化学结构式(Chemical Structure):
参考文献No.35204
标题:Benzoxazinone dopamine D4 receptor antagonists
作者:Belliotti, T.; Wise, L.D.; Wustrow, D.J. (Pfizer Inc.)
来源:EP 0906294; WO 9745419
合成路线图解说明:

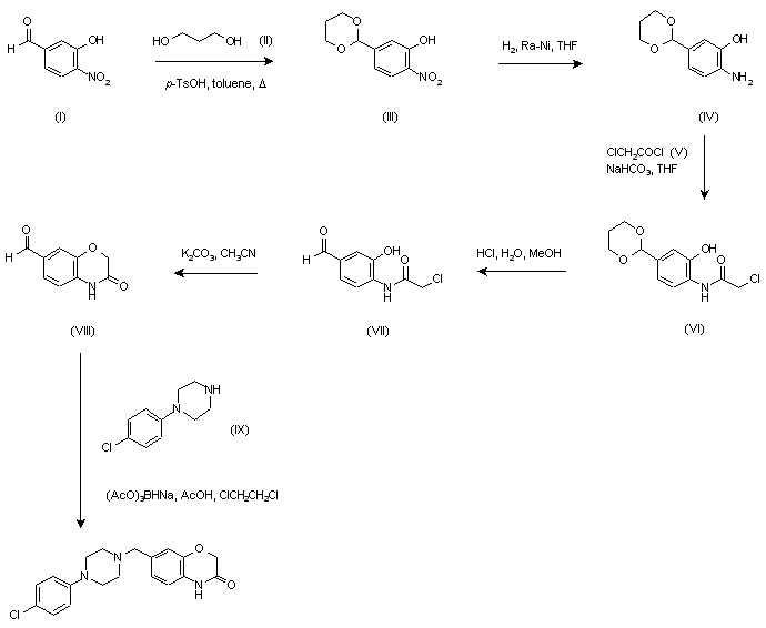
3-Hydroxy-4-nitrobenzaldehyde (I) was treated with 1,3-propanediol (II) in the presence of p-toluenesulfonic acid to afford the corresponding acetal (III). Catalytic hydrogenation of the nitro group of (III) over Raney-Ni gave aniline (IV), which was then acylated with chloroacetyl chloride (V) in the presence of NaHCO3 to the chloroacetamide (VI). The acetal function of (VI) was hydrolyzed with HCl in aqueous MeOH, and subsequent cyclization of the chloroacetamide (VII) using K2CO3 in acetonitrile produced the formylbenzoxazinone (VIII). The target compound was then prepared by reductive condensation of aldehyde (VIII) with N-(4-chlorophenyl)piperazine (IX) in the presence of sodium triacetoxyborohydride and AcOH.

参考文献No.557247
标题:A series of 6- and 7-piperazinyl- and -piperidinylmethylbenzoxazinones with dopamine D4 antagonist activity: Discovery of a potential atypical antipsychotic agent
作者:Belliotti, T.R.; Wustrow, D.J.; Brink, W.A.; Zoski, K.T.; Shih, Y.H.; Whetzel, S.Z.; Georgic, L.M.; Corbin, A.E.; Akunne, H.C.; Heffner, T.G.; Pugsley, T.A.; Wise, L.D.
来源:J Med Chem 1999,42(25),5181
合成路线图解说明:

3-Hydroxy-4-nitrobenzaldehyde (I) was treated with 1,3-propanediol (II) in the presence of p-toluenesulfonic acid to afford the corresponding acetal (III). Catalytic hydrogenation of the nitro group of (III) over Raney-Ni gave aniline (IV), which was then acylated with chloroacetyl chloride (V) in the presence of NaHCO3 to the chloroacetamide (VI). The acetal function of (VI) was hydrolyzed with HCl in aqueous MeOH, and subsequent cyclization of the chloroacetamide (VII) using K2CO3 in acetonitrile produced the formylbenzoxazinone (VIII). The target compound was then prepared by reductive condensation of aldehyde (VIII) with N-(4-chlorophenyl)piperazine (IX) in the presence of sodium triacetoxyborohydride and AcOH.

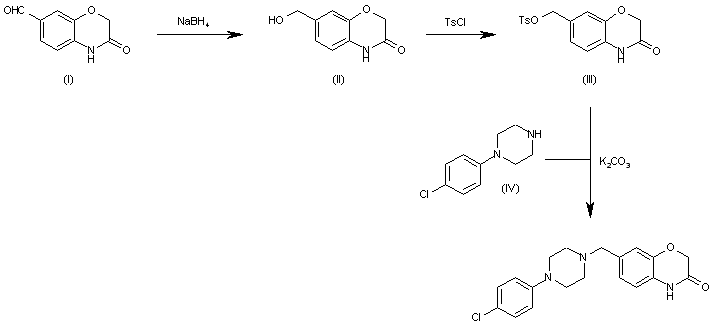
合成路线图解说明:

The reduction of 3-oxo-3,4-dihydro-2H-1,4-benzoxazine-7-carbaldehyde (I) with NaBH4 in methanol gives the corresponding carbinol (II), which is acylated with TsCl in pyridine yielding the tosylate (III). Finally, this compound is condensed with 1-(4-chlorophenyl)piperazine (IV) by means of K2CO3 in refluxing acetonitrile.

Drug Information Express,Drug R&D,Chemical Database,Patent Search.
Copyright © 2006-2026 Drug Future. All rights reserved.Contact Us