【药物名称】RPR-122818
化学结构式(Chemical Structure):
参考文献No.33774
标题:Substd. (aryl, heteroaryl, arylmethyl or heteroarylmethyl) hydroxamic acid cpds.
作者:Groneberg, R.D.; Neuenschwander, K.W.; Djuric, S.W.; McGeehan, G.M.; Burns, C.J.; Condon, S.M.; Morrissette, M.M.; Salvino, J.M.; Scotese, A.C.; Ullrich, J.W. (Aventis Pharma SA)
来源:EP 0871439; JP 2000503012; WO 9724117
合成路线图解说明:

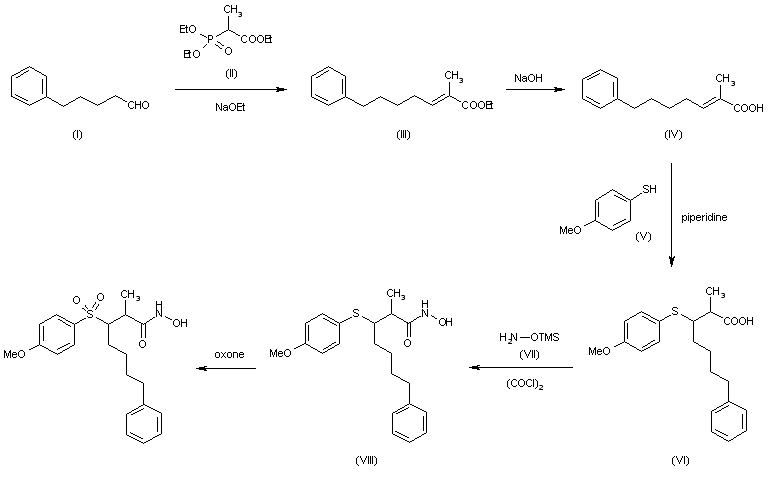
The reaction of 5-phenylpentanal (I) with triethyl 2-phosphonopropionate (II) by means of NaOEt in THF gives ethyl 2-methyl-7-phenyl-2(E)-heptenoate (III), which is hydrolyzed with NaOH in methanol/water to the corresponding free acid (IV). The reaction of (IV) with 4-methoxythiophenol (V) in hot piperidine affords 3-(4-methoxyphenylsulfanyl)-2-methyl-7-phenylheptanoic acid (VI), which by reaction first with oxalyl chloride, then with O-trimethylsilylhydroxylamine (VII) in dichloromethane, and finally with HCl is converted into the hydroxamic acid (VIII). Finally, this compound is oxidized with oxone in methanol/water to provide the target compound as mixture of diastereomeric racemates that is separated by reversed phase HPLC.

参考文献No.538129
标题:Dual inhibition of phosphodiesterase 4 and matrix metalloproteinases by an (arylsulfonyl)hydroxamic acid template
作者:Groneberg, R.D.; Burns, C.J.; Morrissette, M.M.; Ullrich, J.W.; Morris, R.L.; Darnbrough, S.; Djuric, S.W.; Condon, S.M.; McGeehan, G.M.; Labaudiniere, R.; Neuenschwander, K.; Scotese, A.C.; Kline, J.A.
来源:J Med Chem 1999,42(4),541
合成路线图解说明:

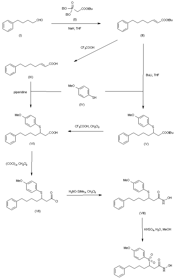
Horner-Emmons condensation of 5-phenylpentanal (I) with phosphonate (II) in the presence of NaH yielded tert-butyl 7-phenyl-2-heptenoate (III). Subsequent Michael addition of 4-methoxythiophenol (IV) to (III) using a catalytic amount of BuLi provided thioether (V). After acid deprotection of the tert-butyl ester of (V) with TFA, the resulting carboxylic acid (VI) was converted to acid chloride (VII) and then condensed with O-(trimethylsilyl)hydroxylamine to produce hydroxamic acid (VIII). Finally, sulfide oxidation of (VIII) with Oxone furnished the target beta-sulfonylhydroxamic acid. Alternatively tet-butyl ester (III) can be hydrolyzed first to the free acid (IX) with TFA, and then condensed with thiophenol (IV) by means of piperidine to afford the previously described carboxylic acid (VI).

合成路线图解说明:

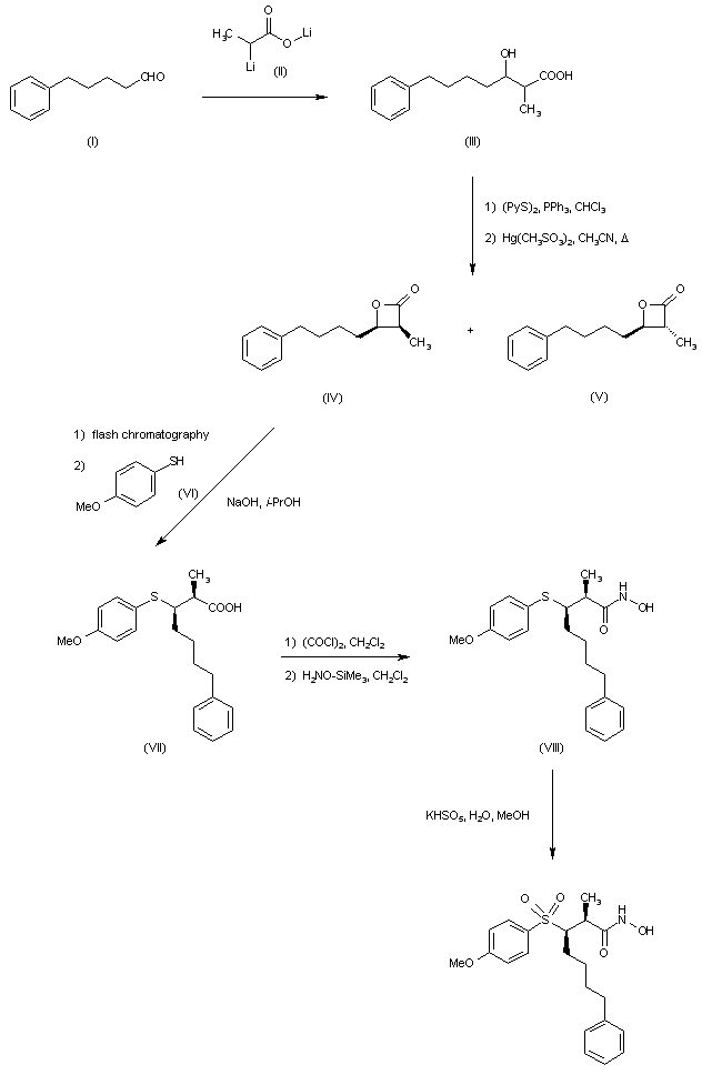
Hydroxyacid (III) was prepared by condensation of 5-phenylpentanal (I) with the dilithium anion of propionic acid (II). Cyclization of (III) upon treatment with dipyridyl disulfide and PPh3, and then with mercuric mesylate yielded an equimolar mixture of beta-lactones (IV) and (V), from which the desired cis isomer (IV) was isolated by flash chromatography. Subsequent ring opening of (IV) with the sodium salt of 4-methoxythiophenol (VI) provided carboxylic acid (VII). This was converted to acid the corresponding chloride by means of oxalyl chloride and then condensed with O-(trimethylsilyl)hydroxylamine to produce hydroxamic acid (VIII). Finally, sulfide oxidation of (VIII) with Oxone furnished the target sulfonylhydroxamic acid.

Drug Information Express,Drug R&D,Chemical Database,Patent Search.
Copyright © 2006-2026 Drug Future. All rights reserved.Contact Us