【药物名称】PNU-144113
化学结构式(Chemical Structure):
参考文献No.34245
标题:Hydroxamic acid derivs. for use with the treatment of diseases related to connective tissue degradation
作者:Jacobsen, E.J. (Pharmacia & Upjohn AB)
来源:EP 0898562; JP 2000506163; US 5712300; WO 9732846
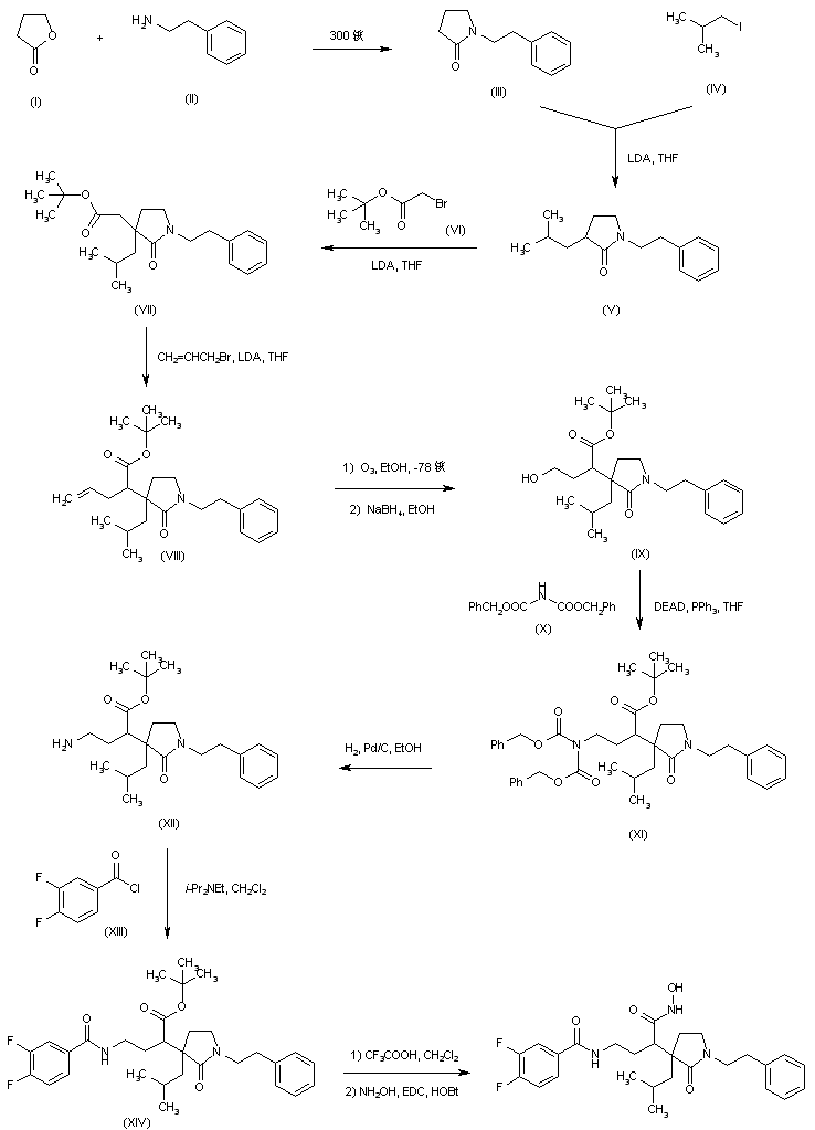
合成路线图解说明:

The condensation of gamma-butyrolactone (I) with phenethyl amine (II) at high temperatures afforded phenethylpyrrolidinone (III). This was alkylated with isobutyl iodide (IV) in the presence of lithium diisopropylamide in cold THF yielding the 3-isobutyl pyrrolidinone (V), and further alkylated with tert-butyl bromoacetate (VI) to give (VII). Subsequent alkylation of (VII) at the alpha-position of carboxylate group with allyl bromide provided (VIII). Ozonolysis of the double bond of (VIII), followed by reductive treatment with NaBH4 produced alcohol (IX), which was coupled with dibenzyl iminodicarboxylate (X) under Mitsunobu conditions giving (XI). The biscarbamate (XI) was deprotected by hydrogenolysis over Pd/C, and the resulting primary amine (XII) was condensed with 3,4-difluorobenzoyl chloride (XIII) to furnish amide (XIV). Then, trifluoroacetic acid-promoted cleavage of the tert-butyl ester of (XIV) provided the corresponding carboxylic acid, which was finally coupled with hydroxylamine by means of EDC and HOBt to afford the target hydroxamic acid

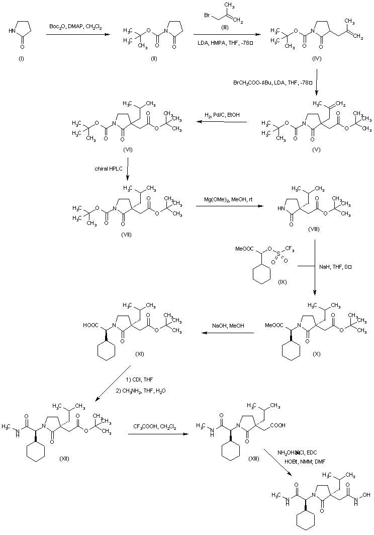
合成路线图解说明:

2-Pyrrolidinone (I) was protected as the N-Boc derivative (II) and then alkylated with 3-bromo-2-methylpropene (III) in the presence of LDA to yield (IV). Further alkylation of (IV) with tert-butyl bromoacetate gave the dialkylated pyrrolidinone (V). Catalytic hydrogenation of the 2-methylpropenyl substituent of (V) produced the racemic isobutyl analogue (VI), which was resolved by means of chiral HPLC. The desired (S)-enantiomer (VII) was deprotected by treatment with magnesium ethoxide, affording pyrrolidinone (VIII). N-Alkylation of the pyrrolidinone (VIII) with triflate (IX) furnished adduct (X), which was hydrolyzed to carboxylic acid (XI) with methanolic NaOH. After activation of (XI) with carbonyl diimidazole, coupling with methylamine gave rise to amide (XII). Cleavage of the tert-butyl ester group of (XII) employing trifluoroacetic acid produced carboxylic acid (XIII). This was finally coupled with hydroxylamine using EDC and HOBt.

合成路线图解说明:

2-Pyrrolidinone (I) was protected as the N-Boc derivative (II) and then alkylated with 3-bromo-2-methylpropene (III) in the presence of LDA to yield (IV). Further alkylation of (IV) with tert-butyl bromoacetate gave the dialkylated pyrrolidinone (V). Catalytic hydrogenation of the 2-methylpropenyl substituent of (V) produced the racemic isobutyl analogue (VI), which was resolved by means of chiral HPLC. The desired (S)-enantiomer (VII) was deprotected by treatment with magnesium ethoxide, affording pyrrolidinone (VIII). Triflate (XI) was obtained from D-phenyllactic acid (IX) by formation of the methyl ester (X) upon treatment with iodomethane, followed by reaction with trifluoromethanesulfonic anhydride and pyridine. N-Alkylation of the pyrrolidinone (VIII) with triflate (XI) furnished adduct (XII), which was hydrolyzed to carboxylic acid (XIII) with methanolic NaOH. After activation of (XIII) with carbonyl diimidazole, coupling with methylamine gave rise to amide (XIV). Cleavage of the tert-butyl ester group of (XIV) employing trifluoroacetic acid produced carboxylic acid (XV). This was finally coupled with hydroxylamine using EDC and HOBt.

Drug Information Express,Drug R&D,Chemical Database,Patent Search.
Copyright © 2006-2026 Drug Future. All rights reserved.Contact Us