【药物名称】SQ-094
化学结构式(Chemical Structure):
参考文献No.37825
标题:Radiopharmaceuticals for imaging infection and inflammation
作者:Rajopadhye, M.; Harris, T.D.; Barrett, J.A.; Cheesman, E.H. (DuPont Pharmaceuticals Co.)
来源:WO 9815295
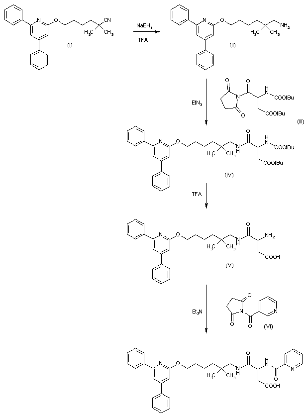
合成路线图解说明:

The reduction of 6-(4,6-diphenylpyridin-2-yloxy)-2,2-dimethylhexanenitrile (I) (J Med Chem 1992, 35: 4315) with NaBH4/TFA in THF gives 6-(4,6-diphenylpyridin-2-yloxy)-2,2-dimethylhexylamine (II), which is condensed with protected aspartic acid activated as succinimidyl ester (III) and triethylamine in DMF yielding te proteted aspartic acid amide (IV). The deprotection of (IV) with trifluoroacetic acid affords unprotected aspartamide (V), which is finally condensed with pyridine-3-carboxylic acid succinimidyl ester (VI) by means of triethylamine in DMF.

Drug Information Express,Drug R&D,Chemical Database,Patent Search.
Copyright © 2006-2026 Drug Future. All rights reserved.Contact Us