【药物名称】NSC-658879
化学结构式(Chemical Structure):
参考文献No.36786
标题:Polythiophene anti-tumor agents
作者:Chang, C.-T.; Chang, C.-J.; Lee, C.-T.; Lin, F.-L.; Tsai, J.-D.; Ashendel, C.L.; Chan, T.C.K.; Geahlen, R.L.; Waters, D.J. (Industrial Technology & Research Institute; Purdue Research Foundation)
来源:EP 1007035; WO 9823269
合成路线图解说明:

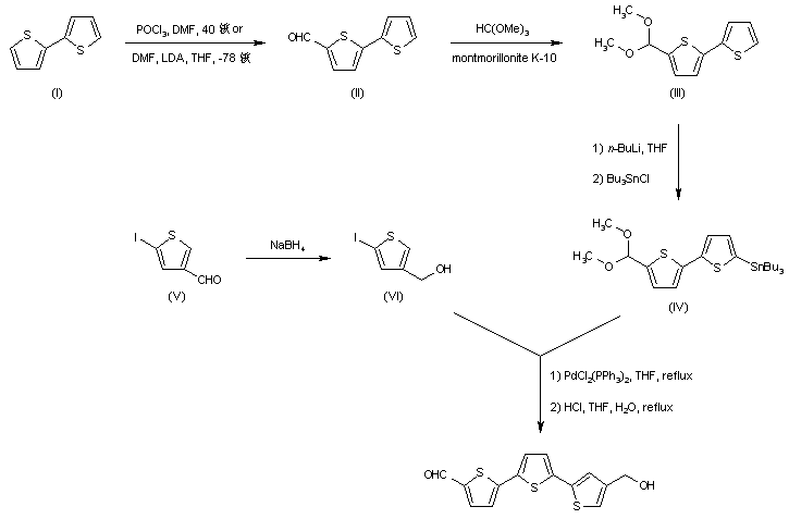
Formylation of 2,2'-bithiophene (I) either under Vilsmeier conditions (1) or by lithiation with LDA, followed by addition of DMF (2), provided aldehyde (II). This was protected as the dimethyl acetal (III) employing trimethyl orthoformate in the presence of montmorillonite K-10. After lithiation of (III) with n-BuLi, treatment with tributyltin chloride gave the stannyl derivative (IV). Stille coupling of (IV) with 2-iodo-4-(hydroxymethyl)thiophene (VI) (prepared by reduction of the corresponding aldehyde (V) with NaBH4), furnished the corresponding terthiophene, which after acid hydrolysis of the acetal protecting group provided the title compound.

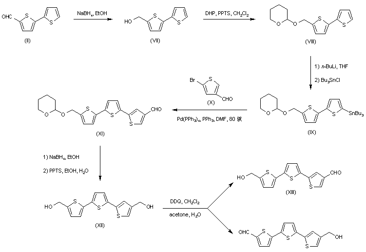
合成路线图解说明:

In an alternative procedure, the bithiophene aldehyde (II) was reduced to alcohol (VII) with NaBH4, and this was protected with dihydropyran to give (VIII). Lithiation and subsequent treatment of (VIII) with tributyltin chloride afforded the stannyl compound (IX). This was then coupled with 2-bromo-4-thiophene-carboxaldehyde (X) in the presence of Pd(PPh3)4 and an additional amount of PPh3 to provide the terthiophene (XI). The reduction of the aldehyde group of (XI) with NaBH4, and then acid hydrolysis of the tetrahydropyranyl protecting group furnished diol (XII). Finally, the oxidation of (XII) by means of DDQ gave rise to a 1:3 mixture of the desired hydroxy aldehyde and its regioisomer (XIII).

参考文献No.546599
标题:Novel protein kinase C inhibitors: Synthesis and PKC inhibition of beta-substituted polythiophene derivatives
作者:Xu, W.C.; Zhou, Q.; Ashendel, C.L.; Chang, C.t.; Chang, C.J.
来源:Bioorg Med Chem Lett 1999,9(15),2279
合成路线图解说明:

Formylation of 2,2'-bithiophene (I) either under Vilsmeier conditions (1) or by lithiation with LDA, followed by addition of DMF (2), provided aldehyde (II). This was protected as the dimethyl acetal (III) employing trimethyl orthoformate in the presence of montmorillonite K-10. After lithiation of (III) with n-BuLi, treatment with tributyltin chloride gave the stannyl derivative (IV). Stille coupling of (IV) with 2-iodo-4-(hydroxymethyl)thiophene (VI) (prepared by reduction of the corresponding aldehyde (V) with NaBH4), furnished the corresponding terthiophene, which after acid hydrolysis of the acetal protecting group provided the title compound.

合成路线图解说明:

In an alternative procedure, the bithiophene aldehyde (II) was reduced to alcohol (VII) with NaBH4, and this was protected with dihydropyran to give (VIII). Lithiation and subsequent treatment of (VIII) with tributyltin chloride afforded the stannyl compound (IX). This was then coupled with 2-bromo-4-thiophene-carboxaldehyde (X) in the presence of Pd(PPh3)4 and an additional amount of PPh3 to provide the terthiophene (XI). The reduction of the aldehyde group of (XI) with NaBH4, and then acid hydrolysis of the tetrahydropyranyl protecting group furnished diol (XII). Finally, the oxidation of (XII) by means of DDQ gave rise to a 1:3 mixture of the desired hydroxy aldehyde and its regioisomer (XIII).

Drug Information Express,Drug R&D,Chemical Database,Patent Search.
Copyright © 2006-2026 Drug Future. All rights reserved.Contact Us