【药物名称】SB-267268
化学结构式(Chemical Structure):
参考文献No.36276
标题:Vitronectin receptor antagonists
作者:Callahan, J.F.; Cousins, R.D.; Keenan, R.M.; Kwon, C.; Miller, W.H.; Uzinkas, I.N. (SmithKline Beecham plc)
来源:EP 0957917; WO 9814192
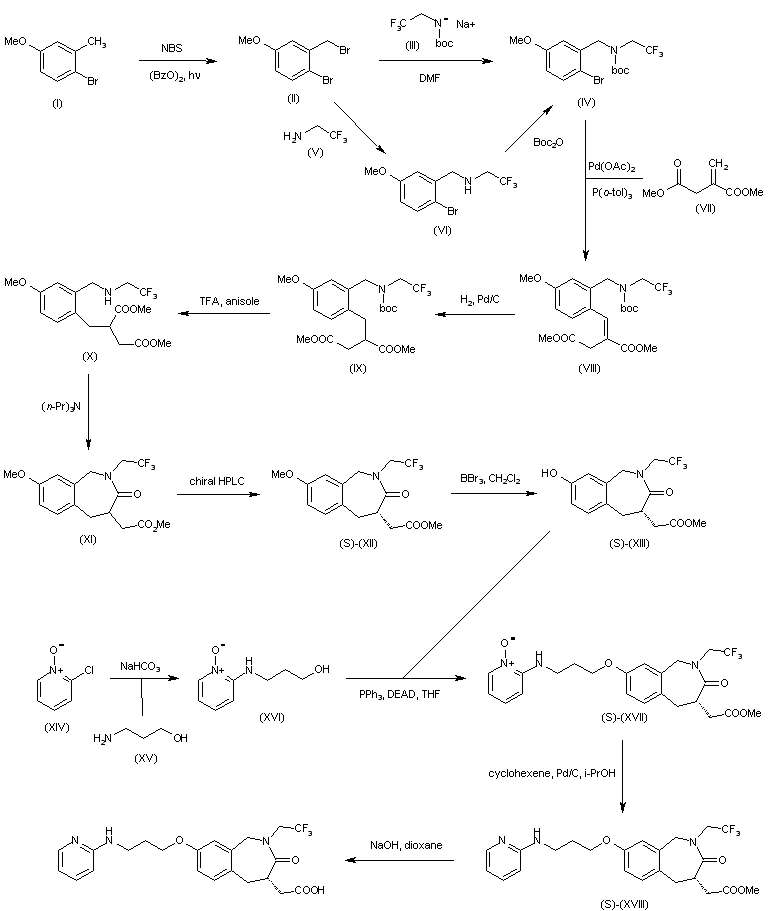
合成路线图解说明:

Bromination of 4-bromo-3-methyl anisole derivative (I) by means of NBS and light in CH2Cl2 and (BzO)2 affords derivative (II), which is then treated with protected trifluoroethane derivative (III) in DMF to give (IV). Alternatively, (II) can be converted into (IV) by first treating with 2,2,2-trifluoroethylamine (V) in DMSO followed by N-protection by means of Boc2O in CH2Cl2. Treatment of (IV) with dimethyl itaconate (VII) in the presence of Pd(OAc)2, P(o-tol)3, DIEA and propionitrile yields intermediate (VIII), which is then reduced by hydrogenolysis over Pd/C in EtOAc to afford butanoate (IX). Removal of the Boc protecting group of (IX) by treatment with TFA and anisole provides derivative (X), which is then cyclized by means of tripropylamine in refluxing xylenes to afford benzazepine derivative (XI) in its racemic form. Separation of the two enantiomers of (XI) by chiral HPLC affords (S)-(XII), which is demethylated with BBr3 in CH2Cl2 to yield (XIII). Treatment of N-oxide derivative (XIV) with 3-amino-1-propanol (XV) in tert-amyl alcohol in the presence of NaHCO3 yields derivative (XVI), which is then reacted with phenol derivative (XIII) in a Mitsunobu reaction with PPh3 and DEAD in THF/DMF to give ether derivative (XVII). Reduction of (XVII) with cyclohexene in isopropanol in the presence of Pd/C affords methyl acetate (XVIII), which is finally hydrolyzed by means of aqueous NaOH in dioxane.

参考文献No.562715
标题:Discovery of orally active nonpeptide vitronectin receptor antagonists based on a 2-benzazepine gly-asp mimetic
作者:Miller, W.H.; Alberts, D.P.; Bhatnager, P.K.; Bondinell, W.E.; Callahan, J.F.; Calvo, R.R.; Cousins, R.D.; Erhard, K.F.; Heerding, D.A.; Keenan, R.M.; Kwon, C.; Manley, P.J.; Newlander, K.A.; Ross, S.T.; Samanen, J.M.; Uzinskas, I.N.; et al.
来源:J Med Chem 2000,43(1),22
合成路线图解说明:

Bromination of 4-bromo-3-methyl anisole derivative (I) by means of NBS and light in CH2Cl2 and (BzO)2 affords derivative (II), which is then treated with protected trifluoroethane derivative (III) in DMF to give (IV). Alternatively, (II) can be converted into (IV) by first treating with 2,2,2-trifluoroethylamine (V) in DMSO followed by N-protection by means of Boc2O in CH2Cl2. Treatment of (IV) with dimethyl itaconate (VII) in the presence of Pd(OAc)2, P(o-tol)3, DIEA and propionitrile yields intermediate (VIII), which is then reduced by hydrogenolysis over Pd/C in EtOAc to afford butanoate (IX). Removal of the Boc protecting group of (IX) by treatment with TFA and anisole provides derivative (X), which is then cyclized by means of tripropylamine in refluxing xylenes to afford benzazepine derivative (XI) in its racemic form. Separation of the two enantiomers of (XI) by chiral HPLC affords (S)-(XII), which is demethylated with BBr3 in CH2Cl2 to yield (XIII). Treatment of N-oxide derivative (XIV) with 3-amino-1-propanol (XV) in tert-amyl alcohol in the presence of NaHCO3 yields derivative (XVI), which is then reacted with phenol derivative (XIII) in a Mitsunobu reaction with PPh3 and DEAD in THF/DMF to give ether derivative (XVII). Reduction of (XVII) with cyclohexene in isopropanol in the presence of Pd/C affords methyl acetate (XVIII), which is finally hydrolyzed by means of aqueous NaOH in dioxane.

Drug Information Express,Drug R&D,Chemical Database,Patent Search.
Copyright © 2006-2026 Drug Future. All rights reserved.Contact Us