【药物名称】BILA-2157, BILA-2157-BS
化学结构式(Chemical Structure):
参考文献No.530073
标题:Discovery of non-peptidic P2-P3 butanediamide renin inhibitors with high oral efficacy
作者:Simoneau, B.; Lavall閑, P.; Anderson, P.C.; Bailey, M.; Bantle, G.; Berthiaume, S.; Chabot, C.; Fazal, G.; Halmos, T.; Ogilvie, W.W.; Poupart, M.A.; Thavonekham, B.; Xin, Z.; Thibeault, D.; Bolger, G.; Panzenbeck, M.; Winquist, R.; Jung, G.L.
来源:Bioorg Med Chem 1999,7(3),489
合成路线图解说明:

The reaction of succinic anhydride (I) with the lithium salt of the chiral oxazolidinone (II) in THF gives 3-(hydroxysucccinyl)-4(S)-isopropyloxazolidin-2-one (III), which is treated successively with oxalyl chloride, CH2N2 and HBr to yield the bromomethyl derivative (IV). The cyclization of (IV) with thiourea in refluxing isopropanol affords the 2-aminothiazol derivative (V), which is protected with 2,2,2-trichloroethyl chloroformate by means of DIEA and DMAP in dichloromethane giving the carbamate (VI). The reaction of (VI) with tert-butyl 2-bromoacetate (VII) by means of sodium hexamethyldisilazane (NaHMDS) in THF yields the chiral butyrate (VIII), which is hydrolyzed with TFA in dichloromethane to the chiral butyric acid (IX). The condensation of (IX) with the intermediate amine (X) by means of BOP-PF6 and DIEA in DMF affords the corresponding amide (XI), which is treated with magnesium methoxide in methanol to eliminate the oxazolidinone group (the chiral inductor) providing the methyl ester (XII). The hydrolysis of (XII) with NaOH, followed by condensation with amine (XIII) (J Org Chem 1988, 53: 6109; J Med Chem 1993, 36: 449) gives the protected intermediate (XIV), which is finally deprotected by reaction with Zn/HCl in aqueous dioxane.

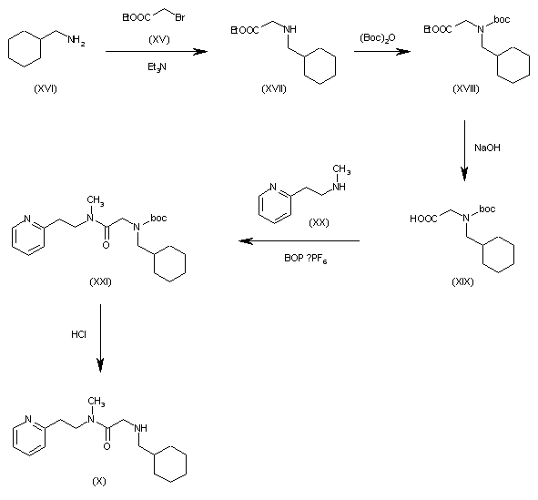
合成路线图解说明:

The intermediate amine (X) has been obtained as follows: The reaction of ethyl 2-bromoacetate (XV) with cyclohexylmethylamine (XVI) by means of Et3N in THF gives the N-(cyclohexylmethyl)glycine ethyl ester (XVII), which is protected with (Boc)2O in dichloromethane yielding (XVIII). The hydrolysis of (XVIII) with NaOH in water gives the corresponding free acid (XIX), which is condensed with 2-[2-(methylamino)ethyl]pyridine (XX) by means of BOP-PF6 and DIEA in DMF to provide the amide (XXI). Finally, this compound is deprotected with HCl in dioxane/water to obtain the ddesired intermediate (X).

参考文献No.547400
标题:Practical synthesis of BILA 2157 BS, a potent and orally active renin inhibitor: Use of an enzayme-catalyzed hydrolysis for the preparation of homochiral succinic acid derivatives
作者:Beaulieu, P.L.; Gillard, J.; Bailey, M.; Beaulieu, C.; Duceppe, J.S.; Lavallee, P.; Wernic, D.
来源:J Org Chem 1999,64(18),6622
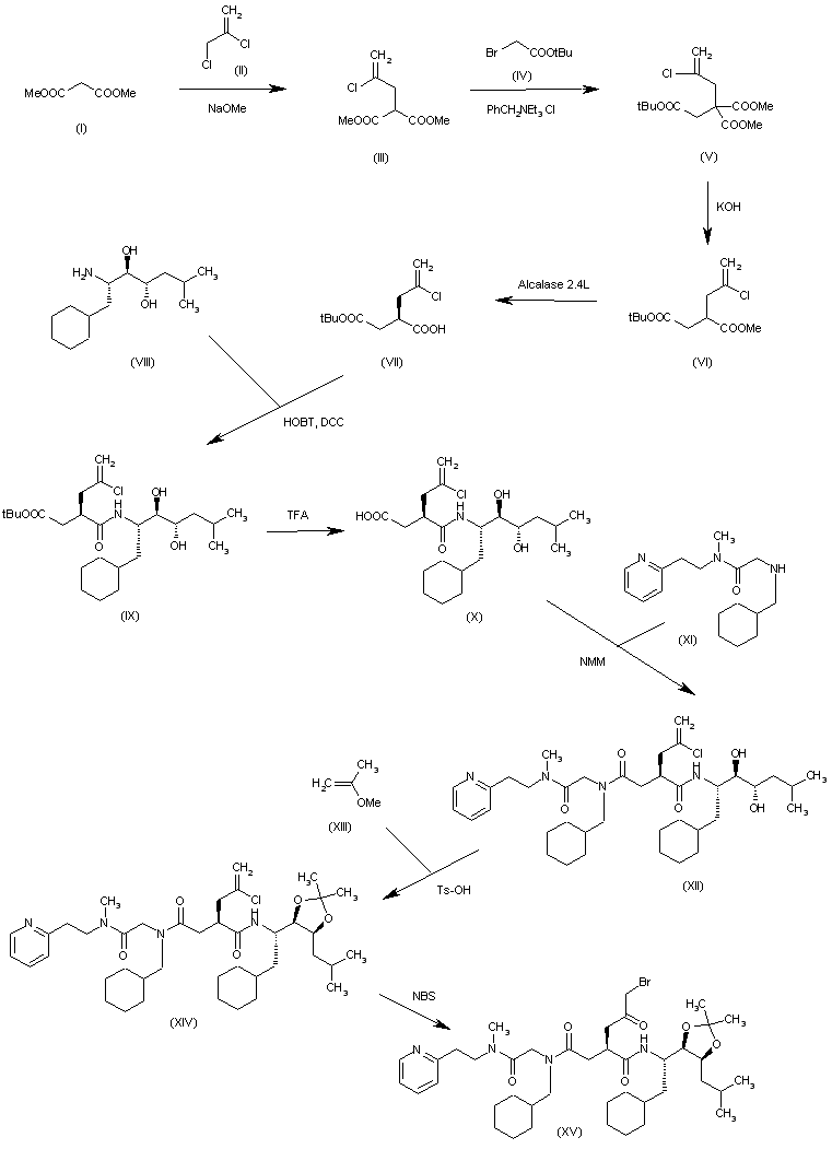
合成路线图解说明:

The condensation of dimethyl malonate (I) with 2-cloroallyl chloride (II) by means of sodium methoxide in hot methanol gives the alkylmalonate (III), which is treated with tert-butyl bromoacetate (IV), NaOH and benzyltriethylammonium chloride to yield the tricarboxylic ester (V). Partial decarboxylation of (V) with KOH in hot methanol/water affords the succinic acid derivative (VI), which is submitted to enzymatic hydrolysis with Alcalase 2.4L to provide the chiral monoester (VII). The condensation of monoacid (VII) with amine (VIII) by means of HOBT, DCC, and DIEA in THF gives the amide (IX), which is treated with TFA to eliminate the tert-butyl protecting group yielding the acid (X). The condensation of (X) with amine (XI) by means of NMM and pivaloyl chloride affords the amide (XII), which is treated with 2-methoxypropene (XIII) and TsOH in dichloromethane to protect the vicinal hydroxy groups giving the dioxolane (XIV). The bromination of the allyl double bond of (XIV) with NBS in tert-butyl methyl ether/water gives 3-bromo-2-oxopropyl derivative (XV).

合成路线图解说明:

The thiazole ring formation by cyclization of (XV) with thiourea (XVI) gives intermediate (XVII), which is finally deprotected with methanesulfonic acid in dichloromethane.

Drug Information Express,Drug R&D,Chemical Database,Patent Search.
Copyright © 2006-2026 Drug Future. All rights reserved.Contact Us